在 Word 文档中插入公式,需要用到 LaTeX \LaTeX LATEX 。但遗憾的是,Word 只支持部分 LaTeX \LaTeX LATEX 语法,这就导致很多在 Markdown 能正常渲染的公式在 Word 中无法正常显示。
“内嵌”和“显示”
首先介绍一下 Word 的“内嵌”和“显示”。“内嵌”为行内公式,即公式前后有文字(包括空格);“显示”为行间公式,公式一定另起一行。
准确来说,“内嵌”公式只是在“显示”公式的公式框前/后加了一个空格,所以“内嵌”公式也能另起一行。
Word 中,在“内嵌”的情况下,无法使公式转换为“显示”的形式。
💡 注意: 此处不是指“内嵌”公式与“显示”公式互相转换。 你可能没懂这句话的意思,没关系,后文举例解释。
这个问题在插入稍微复杂点的公式时(分式、积分、求和等等)显得更加重要。所以我们尽量使用行间公式,也就是“显示”公式。
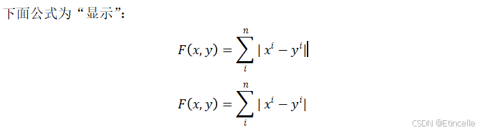
举个🌰:

可以看到,求和符 ∑ \sum ∑ 在“内嵌”时被压缩。目前来说,在“内嵌”的情况下,并没有一个合适的方法使 ∑ i N \sum_i^N ∑iN 变为 ∑ i N \displaystyle\sum_i^N i∑N。如果你是用 Word 撰写论文,这可能使得论文不合规范。
在 Markdown 中是能做到的,使用
\displaystyle,详见我的另一篇博客。
此方法不适用于 Word 。
那直接使用行间公式不就行了?
当你需要为公式编号时,就引出了第二个问题——
编号与对齐问题
Word 不支持 LaTeX \LaTeX LATEX 的原生编号环境及语法,包括但不限于equation、align、tag。
所以要在 Word 对公式进行编号,必须手动编号,可以通过手敲、题注、域代码(这个比较高级)、第三方插件等等实现。
当你手动给公式编号时,由于行间公式后有文字或空格,会导致“显示”自动变为“内嵌”,类似 ∑ i N \displaystyle\sum_i^N i∑N 被强行压缩为 ∑ i N \sum_i^N ∑iN。

本文只提供最傻瓜式的 手敲 这一方法来实现 在不改变“显示”格式的情况下,对行间公式编号+对齐处理,个人理解,仅供参考。
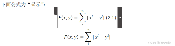
第一步, 为方便后文对齐,首先复制一行公式(默认居中,作后面的对齐参考),这里是已经转化为了专业格式。

第二步, 选择任一公式,在公式 内部 敲出编号:

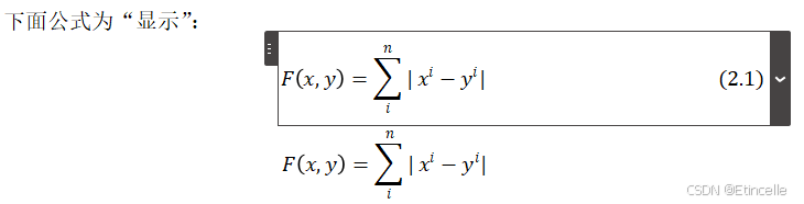
第三步, 该公式选择为“右对齐”,在公式和编号之间敲空格,直到公式与我们第一步复制的公式完全对齐。

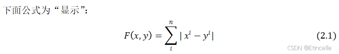
第四步, 删除对齐参考公式,最终呈现效果如下:

似乎也可以通过无框线表格实现,但对齐不如这个方便。

友情附赠: LaTeX \LaTeX LATEX 公式编号
不适用于 Word,对代码不做解释,但是简单得能看懂。对 LaTeX \LaTeX LATEX 有兴趣的自行搜索。
单行公式:
$$
\begin{equation}
f(x) = x^2 + 2x + 1
\end{equation}
$$
f ( x ) = x 2 + 2 x + 1 \begin{equation} f(x) = x^2 + 2x + 1 \end{equation} f(x)=x2+2x+1
多行公式分别编号:
$$
\begin{align}
f(x) &= x^2 + 2x + 1 \\
g(x) &= \sin(x) + \cos(x)
\end{align}
$$
$$
\begin{align}
f(x) &= a + b \\
&= \alpha + \beta
\end{align}
$$
f ( x ) = x 2 + 2 x + 1 g ( x ) = sin ( x ) + cos ( x ) \begin{align} f(x) &= x^2 + 2x + 1 \\ g(x) &= \sin(x) + \cos(x) \end{align} f(x)g(x)=x2+2x+1=sin(x)+cos(x)
f ( x ) = a + b = α + β \begin{align} f(x) &= a + b \\ &= \alpha + \beta \end{align} f(x)=a+b=α+β
多行公式只占用一个编号:
$$
\begin{equation}
\begin{aligned}
f(x) &= x^2 + 2x + 1 \\
g(x) &= \sin(x) + \cos(x)
\end{aligned}
\end{equation}
$$
$$
\begin{equation}
\begin{align*}
f(x) &= a + b \\
&= \alpha + \beta
\end{align*}
\end{equation}
$$
f ( x ) = x 2 + 2 x + 1 g ( x ) = sin ( x ) + cos ( x ) \begin{equation} \begin{aligned} f(x) &= x^2 + 2x + 1 \\ g(x) &= \sin(x) + \cos(x) \end{aligned} \end{equation} f(x)g(x)=x2+2x+1=sin(x)+cos(x)
f ( x ) = a + b = α + β \begin{equation} \begin{align*} f(x) &= a + b \\ &= \alpha + \beta \end{align*} \end{equation} f(x)=a+b=α+β
手动指定编号:
$$
\begin{equation}
f(x) = x^2 + 2x + 1
\tag{编号}
\end{equation}
$$
f ( x ) = x 2 + 2 x + 1 \begin{equation} f(x) = x^2 + 2x + 1 \tag{编号} \end{equation} f(x)=x2+2x+1(编号)