本文是实验设计与分析(第6版,Montgomery著,傅珏生译) 第5章析因设计引导5.7节思考题5.8 R语言解题。主要涉及方差分析,正态假设检验,残差分析,交互作用图。
![]()

(a)


dataframe<-data.frame(
Light=c(580,568,570,550,530,579,546,575,599,1090,1087,1085,1070,1035,1000,1045,1053,1066,1392,1380,1386,1328,1312,1299,867,904,889),
Temperature=gl(3,9,27),
Material=gl(3,3,27))
summary (dataframe)
dataframe.aov2 <- aov(Light~Material*Temperature,data=dataframe)
summary (dataframe.aov2)
> summary (dataframe.aov2)
Df Sum Sq Mean Sq F value Pr(>F)
Material 2 150865 75432 206.4 3.89e-13 ***
Temperature 2 1970335 985167 2695.3 < 2e-16 ***
Material:Temperature 4 290552 72638 198.7 1.25e-14 ***
Residuals 18 6579 366
---
Signif. codes: 0 ‘***’ 0.001 ‘**’ 0.01 ‘*’ 0.05 ‘.’ 0.1 ‘ ’ 1
with(dataframe,interaction.plot(Temperature,Material,Light,type="b",pch=19,fixed=T,xlab="Temperature (°F)",ylab="Light"))
plot.design(Light~Material*Temperature,data=dataframe)


(b)



fit <-lm(Light~Material*Temperature,data=dataframe)
anova(fit)
> anova(fit)
Analysis of Variance Table
Response: Light
Df Sum Sq Mean Sq F value Pr(>F)
Material 2 150865 75432 206.37 3.886e-13 ***
Temperature 2 1970335 985167 2695.26 < 2.2e-16 ***
Material:Temperature 4 290552 72638 198.73 1.254e-14 ***
Residuals 18 6579 366
---
Signif. codes: 0 ‘***’ 0.001 ‘**’ 0.01 ‘*’ 0.05 ‘.’ 0.1 ‘ ’ 1
summary(fit)
> summary(fit)
Call:
lm(formula = Light ~ Material * Temperature, data = dataframe)
Residuals:
Min 1Q Median 3Q Max
-35.000 -5.333 -0.333 6.667 35.000
Coefficients:
Estimate Std. Error t value Pr(>|t|)
(Intercept) 572.6667 11.0381 51.881 < 2e-16 ***
Material2 -19.6667 15.6102 -1.260 0.2238
Material3 0.6667 15.6102 0.043 0.9664
Temperature2 514.6667 15.6102 32.970 < 2e-16 ***
Temperature3 813.3333 15.6102 52.103 < 2e-16 ***
Material2:Temperature2 -32.6667 22.0762 -1.480 0.1562
Material3:Temperature2 -33.3333 22.0762 -1.510 0.1484
Material2:Temperature3 -53.3333 22.0762 -2.416 0.0265 *
Material3:Temperature3 -500.0000 22.0762 -22.649 1.11e-14 ***
---
Signif. codes: 0 ‘***’ 0.001 ‘**’ 0.01 ‘*’ 0.05 ‘.’ 0.1 ‘ ’ 1
Residual standard error: 19.12 on 18 degrees of freedom
Multiple R-squared: 0.9973, Adjusted R-squared: 0.9961
F-statistic: 824.8 on 8 and 18 DF, p-value: < 2.2e-16
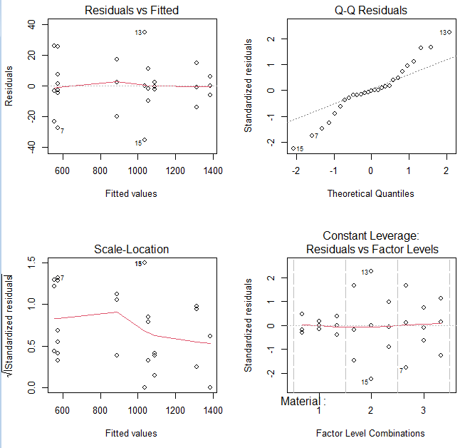
(c)
par(mfrow=c(2,2))
plot(fit)

par(mfrow=c(2,2))
plot(as.numeric(dataframe$Material), fit$residuals, xlab="Material Type", ylab="Residuals", type="p", pch=16)
plot(as.numeric(dataframe$Temperature), fit$residuals, xlab="Temperature", ylab="Residuals", pch=16)
