浅谈2015年全国电子设计竞赛复试题波形发生器设计
时间:2020/1/4 作者:林宏伟 修改:2022(删减)
1.设计要求
----------首先,课题给出的内容是 :选用NE555芯片和一块通用四运放LM324芯片,设计制作一个频率可变化的同时输出脉冲波、锯齿波、一次正弦波Ⅰ和三次正弦波Ⅱ的波形产生电路。给出方案设计、详细电路图和现场自测数据及波形。
设计制作要求如下:
(1)同时四通道输出、每通道输出脉冲波、锯齿波、正弦波Ⅰ、正弦波Ⅱ中 的一种波形,每通道输出的负载电阻均为600欧姆。
(2)四种波形的频率关系为1:1:1:3(3次谐波);脉冲波、锯齿波、正弦波Ⅰ输出频率范围为8KHz~10KHz,输出电压幅度峰峰值为1V;正弦波Ⅱ输出频率范围为24KHz~30KHz,输出电压幅度峰峰值为9V。脉冲波、锯齿波和正弦波输出波形应无明显失真(使用示波器测量时)。频率误差不大于10%;通带内输出电压幅度峰峰值误差不大于5%。脉冲波占空比可调整。
(3)电源只能选用+10V单电源,由稳压电源供给,不得使用额外电源。
(4)要求预留脉冲波、锯齿波、正弦波Ⅰ、正弦波Ⅱ和电源的测试端子。
(5)每通道输出的负载电阻欧姆应标清楚、至于明显位置,便于检查。
----------简单理解:给你两个元器件(LM324和NE555)设计
2.设计原理
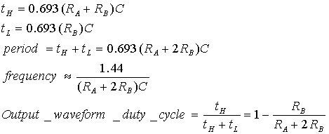
----------利用555定时器构成的多谐振荡器,如图1所示,接通电源后,电源VCC通过R1和R2对电容C充电,当 Uc<1/3VCC 时,振荡器输出OUT=1,放电管截止。当Uc充电到≥2/3VCC 后,振荡器输出OUT翻转成 0,此时放电管导通,使放电端(DIS)接地,电容C通过R2对地放电,使Uc下降。当Uc下降到≤1/3VCC后,振荡器输出OUT又翻转成1,此时放电管又截止,使放电端(DIS)不接地,电源VCC通过R1和R2又对电容C充电,又使Uc从1/3VCC上升到2/3VCC,触发器又发生翻转,如此周而复始,从而在输出端OUT得到连续变化的振荡脉冲波形。

----------利用定时器NE555接成无稳态多谐振荡器。如图2所示,NE555接成多谐振荡器电路后,其6脚(TR0)可以直接输出锯齿波,结合电压跟随器提高电路的负载能力。接通电源后,电源VDD通过R1和R2对电容C充电,当TR0<1/3VCC时,振荡器输出OUT=1,放电管截止。当TR0充电到≥2/3VCC 后,振荡器翻转,此时放电管导通,使放电端(DIS)接地,电容C通过R2对地放电,使TR0下降。当TR0下降到≤1/3VCC后,振荡器输出翻转成1,此时放电管又截止,使放电端(DIS)不接地,电源 VCC 通过R1和R2又对电容C充电,又使TR0从1/3VCC 上升到2/3VCC,触发器又发生翻转,如此周而复始,就产生连续的锯齿波。

----------正弦波I要求是频率和峰峰值与锯齿波一样,选用的是LM324四运算放大器,设计二阶压控电压源低通滤波器,输入锯齿波信号后,输出可得到正弦波。R1和C构成一个低通滤波器,另外一个C和R2构成一个高通滤波器,先是低通,把高于F1的频率过滤,然后是高通,把低于F2的过滤得到了一个从F2到F1的带通滤波器了。R3是正反馈的电阻,R4和R5是调节电路的增益的,影响到电路的Q值;三次正弦波产生是通过一个通带为的带通滤波器设计该滤波器是采用的无限增益多路反馈(MFB)电路。一次三次正弦波电路的参数有表提供的,就电阻电容的参数是通过查表的,无需动脑(你想动脑也行的,我就不动啦!)


3.仿真设计



4.原理图和PCB设计
---------直接看原理图和PCB


---------原理图设计的有点简单,这里谢谢我的老搭档——泽兴,原理图我是参考他的原理图,在PCB上做了点修改
5.电路焊接以及调试
---------通过Multisim仿真得到要求的波形后,开始设计硬件电路。设计过程中对锯齿波电路进行了完善,减少了多余的元器件,减少了电路设计上的复杂性。按照要求,在每个波形输出端加上了分压电路,分压电路选用了电位器和固定电阻,阻值是随机选取的,具体看最后调试的时候再修改完善的。通过实践证明,一般选用10K的电位器和0.1K的固定电阻。主要是电位器调节范围大,可操作性强,无需频繁更换电阻;根据PCB图,利用洞洞板焊接出电路图,通过完善原理图可以使得PCB图简单化,对后面的焊接帮助很大,无需耗费多少时间即可焊接出来,而且布线简单,方便调试。原理分析出来的电阻电容参数在实际应用上其实是不太吻合,所以在焊接的时候必须为方便更换电阻电容上设计好电路,不然后期更换电阻电容十分的麻烦,甚至会弄坏电路板。





---------望大家指正!
6.总结
---------首先,理论学习阶段。在设计波形发生器的时候需要先通过理论分析,再进行下一步的操作。课程设计中只给出了需要用到的两块芯片,一块是NE555,另一块是LM324,所以设计波形发生器之前,需要学习这两个芯片的使用手册才行。通过查找手册,了解到了这两块芯片的使用技巧,了解了芯片的使用原理后就开始设计电路。通过学习使用手册,知道NE555脉冲波以及锯齿波的产生原理,通过原理分析设计出基于该芯片的电路设计图。通过手册知道LM324四运放器的引脚图,再结合书本上的二阶压控电压源低通滤波器和无限增益多路反馈电路原理设计出了一次和三次正弦波的电路图。
---------其次,仿真设计阶段。仿真设计是通过Multisim软件进行仿真的。理论基础学习结束后就需要通过仿真设计去验证自己的猜想是否正确。通过Multisim仿真,最后只仿真出来了脉冲波、锯齿波和一次正弦波,三次正弦波没有仿真出来,这也说明了理论和实际是有区别的。理论正确说明不了仿真也能正确。
---------接着,原理图设计阶段。仿真成功后就可以进行设计波形发生器的原理图了。在设计波形发生器原理图的时候发现电路可以进行改善优化,通过仿真设计验证了本人优化猜想是正确的,每个电路的设计的时候不是一成不变的,通过理论分析和实践操作就可以对原有的电路进行优化,也方便后期的操作。
接着,PCB设计阶段。PCB设计是根据自己的原理图设计的,但是这也不是意味着一定要完全根据原理图设计PCB,本人在设计PCB的时候是按照简单化原则,通过设计PCB,改进电路,让整个电路更加精简,后期调试也十分方便。
---------最后,焊接和调试阶段。一切准备就绪,最后把设计好的PCB焊接出来并利用示波器进行调试。焊接的时间长短就取决于自己设计的PCB的复杂度。调试是根据示波器显示进行调试的,例如,若是频率太高,就调节下电位器的阻值;若是脉冲波不出波形,就检测下RC电路和整个电路问题等等。无论是焊接还是调试都需要坚持,不能半途而废。后面频繁更换电阻电容也十分考验人的耐心。