二维随机变量

(x,y)的左下部分

离散型

与一维不一样的是,二维离散在分布律中会写出概率为0的项
分布函数

就是将相应区域内的概率加起来
连续型

规范性还是要留意一下,有时会用到,用来求一些f(x)中的未知数k
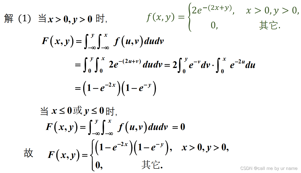
例


注意二重积分的上下限,不能直接将f(u,v)代入2e-(2x+y),因为这个是在x>0,y>0的情况下的,所有要先变上下限
注意、注意、再注意。老师说考试的时候经常会错的😭😭😭

二重积分的积分方法还会吗😇

第一问用了规范性

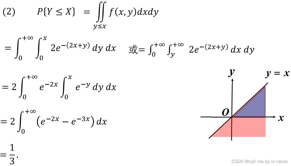
第2问同样要注意,不能直接将f(x,y)代入公式,先变上下限
边缘分布

就是默认一个量趋向正无穷,另一个变量可以改变
注意:Fx关于x的边缘分布函数右下角有x记号
离散型

也比较好理解,固定了一个变量x或y,另一个量从第一个i=1或者j=1开始到最后一个(趋向正无穷)
相当于将二维变成一维
分布函数

固定xi,就是关于x的边缘分布函数
将在xi条件下的所有y相加,极限相当于xi的概率

连续型

这一页还是好好看看吧,虽然不难,但是好像也不是理解得非常透彻
注意概率密度
好好看看这一页吧
均匀分布

不用特别知道那个3维的图
例

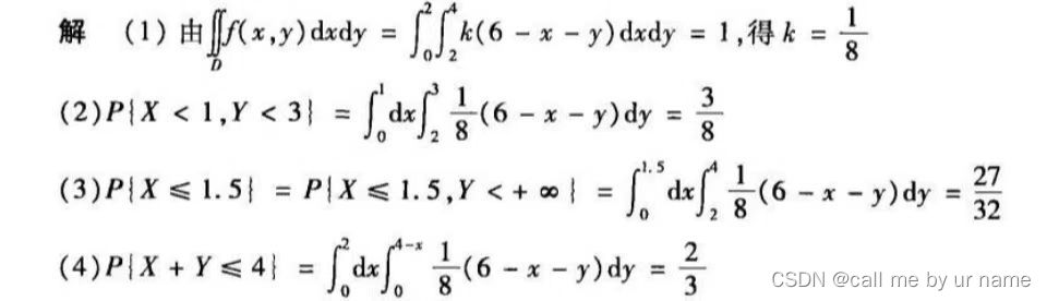
这个第一问用一下规范性即可,没什么好说的


这2个求边缘密度的题,虽然理解起来很简单,但是还是好好看一下,因为到自己实际写起来时,可能会出现意想不到的问题
正态分布


这个公式应该是不用记住的(毕竟有那么长,而且还复杂)

我个人估计考试考这个知识点的概率不是很大,因为这个知识点还是复杂的,不好考察边缘分布,通过边缘分布也不能确定联合分布
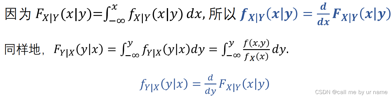
条件分布
离散型

注意划线部分的这种写法
简而言之——联合分布/边缘分布
性质

经典性质了属于是
例

注意范围

Y的边缘分布—— 因为联合分布实际上和m没有关系,所以∑就是单纯的求和,故最终结果的系数是(n-1)【从1——n-1】
X的边缘分布—— 是等比数列前n项的和

离散型最后结果可能与X和Y有关
连续型

注意划线部分的写法

一些基本关系,和一维的类似
例

注意这里需要2个定义域,第一个是为了分母的,第2个是为了条件概率的(要写出2个才不会被扣分)


这里的fX(x)满足均匀分布(固定了X,y->+∞)【还是好好理解一下吧💦💦💦】

联合密度——条件*边缘 (注意定义域)
好好看一下fY(y)的求法
练习


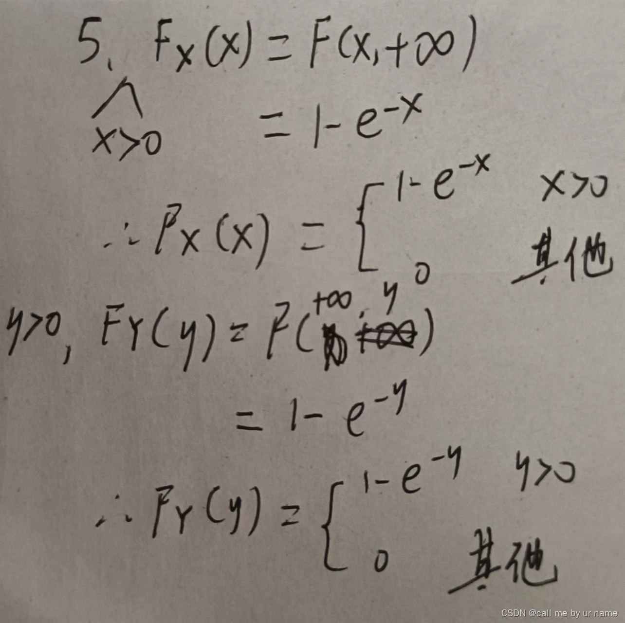
虽然这道题看上去 很 很 很 简单,但是我自己第一次做的时候,对于第1问的二重积分还不是很会积💢💢💢,因为x,y的定义域都是常数,而不是其中一个是另一个的相关的定义域


这道题看上去好像非常简单,但是我第一次做得时候真的分不清FX和fX的关系
所以仔细认真写写,切忌眼高手低


我的建议是画个图,清晰明了(自己第一次做,然后错了🧤🧤🧤)


第2问可以好好看看