生态系统服务是指生态系统所形成的用于维持人类赖以生存和发展的自然环境条件与效用,是人类直接或间接从生态系统中得到的各种惠益。联合国千年生态系统评估(Millennium ecosystem assessment,MA)提出生态系统服务包括供给、调节、支持、文化服务,但自然条件和人类需求使得生态系统服务之间形成了此消彼长的权衡关系或相互增益的协同关系。由于经济的快速发展和城镇化、工业化的持续推进,区域发展与生态环境之间产生了一定的矛盾,《千年生态系统评估报告》指出,全球人口的快速增长和经济的快速发展已导致世界60%的生态系统服务退化。生态系统服务单一化会导致各项服务能力持续减弱,并且各类服务之间的权衡关系也会在很大程度上影响人类福祉,再加上人类对生态系统服务之间的关系认知有限,不利于最大限度地发挥生态系统服务功能,从而对生态环境造成负面影响,导致资源浪费。
生态系统服务分之间的权衡与协同关系是现有研究的重难点,即一种服务的增长削弱(促进)另一种服务的权衡(协同)。人口快速增长和社会经济发展影响生态系统的稳定性,限制了生态系统的服务功能,且某些生态系统服务的退化将加剧生态危机,从而严重威胁人类安全并制约全球的可持续发展。目前,主要采用统计描述、空间制图、情景模拟等方法,定量和定性地分析不同生态系统服务之间的权衡和协同作用机制。
第一章、生态系统服务讲解绍
1.生态系统服务概念和基本理论

2.生态系统服务评估方法与模型讲解


3.生态系统服务权衡与协同研究方法与意义

4.文献可视化分析


第二章、平台基础
一、ArcGIS Pro介绍
1.ArcGIS Pro简介
2.ArcGIS Pro基础
3.ArcGIS Pro数据预处理
4.ArcGIS Pro空间分析
5.模型构建器
6.ArcGIS Pro符号制作
7.ArcGIS Pro制图布局与出

二、R环境配置与基础操作
1.R语言基础
R语言准备:软件与函数包的安装
2.R语言基础数据文件操作处理
函数包准备
基础数据读写
基础数据文件存储
基础数据操作与处理
3.R语言空间数据处理
函数包准备
空间数据对象基本类型
空间数据的导入、导出
空间数据操作与处理

第三章、数据获取与预处理

数据预处理(ArcGIS Pro及R环境)
1.土地利用数据进行拼接、裁剪、重投影(桌面端与云计算)
2.将社会经济数据、植被指数数据进行裁剪、重投影及重采样处理(桌面端与云计算)
3.将基础地理信息数据进行拼接、投影转换,矢量数据栅格化
4.气象数据裁剪、重投影及重采样处理;站点数据提取及地统计分析
5.DEM数据投影变换和影像裁剪
数据清洗:去除重复数据、填补缺失值、处理异常值和转换数据格式等操作
第四章、生态系统服务估算
1.InVEST模型与技术思路讲解

2.产水量计算

InVEST模型的产水量模块是基于Budyko水热耦合平衡原理,结合不同土地利用类型的土壤渗透性、蒸散性的空间差异等因素对径流的影响构建适宜模型,以栅格为单元定量估算水源供给能力。

式中:为土地利用类型为时栅格上的年产水量(mm),为栅格的年均降水量(mm),为实际年平均蒸散发量(mm)。
3.土壤保持量估算
InVEST模型中,土壤保持量(SD)为自然植被保护下的潜在土壤侵蚀量(RKLS)与人工管理和保持措施下的实际土壤侵蚀量(ULSE)之差。
![]()

式中:R为降雨侵蚀力因子;K为土壤可蚀性因子;LS为坡度坡长因子;C为植被覆盖因子;P为土壤保持措施因子。

4.生境退化度估算

生境退化度越高表明威胁因子对生境的威胁程度越高,计算公式如下:

式中:表示栅格x的生境退化度;R表示威胁因子个数;y指威胁栅格图上的各个栅格;是指威胁因子r栅格图上的栅格个数;是威胁因子的权重;表示威胁强度;表示威胁水平;表示法律保护程度,程度越大表明受威胁程度越小;表示土地利用类型j对威胁因子r的敏感性,该值越趋近于1,说明敏感性越强;为生境栅格x与威胁因子栅格y之间的距离;是威胁因子的最大影响距离。
5.碳储量估算

InVEST模型中,生态系统的碳储量()由地上碳储量()、地下碳储量()、土壤碳储量()和死亡有机碳储量()四个基本碳库组成,模型的计算公式为:

第五章、生态系统服务权衡与协同
1.土地利用模拟预测
ArcGIS Pro区域分析
渔网分析
土地利用转移矩阵
影响因子提取


2.R语言统计数据表达与可视化
基础plot函数
基础数据可视化
多元数据可视化

3.相关性分析
ArcGIS Pro空间自相关分析
空间自相关 (Global Moran's I)
聚类和异常值分析 (Anselin Local Moran's I)
聚类分布制图:热点分析 (Getis-Ord Gi*)



R环境中相关系数和显著性水平分析
生态系统服务簇分析
生态系统服务时间权衡与协同
生态系统服务空间权衡与协同


第六章、空间统计分析
1.R函数包准备
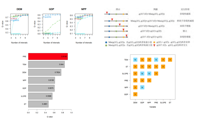
2.地理探测器驱动分析
渔网采样
地理探测器
最优参数地理探测器


3.空间回归分析
普通最小二乘法回归分析

地理加权回归分析(GWR)


第七章、论文撰写与图表复现
1.科技论文结构
2.摘要和结论
3.引言与讨论
4.论文投稿技巧分析
SCI论文案例分析
