注:机翻,未校。
Happiness Is Everything, or Is It? Explorations on the Meaning of Psychological Well-Being
幸福就是一切吗?对心理幸福感含义的探索
Journal of Personality and Social Psychology 1989, Vol. 57, No. 6,1069-1081 Copyright 1989 by the American Psychological Association, Inc. 0022-3514/89/SOO. 75
《人格与社会心理学杂志》1989 年,第 57 卷,第 6 期,1069 - 1081 页 版权所有者为美国心理学会,1989 年版权所有 0022 - 3514/89/SOO. 75
Happiness Is Everything, or Is It? Explorations on the Meaning of Psychological Well-Being
Carol D. Ryff University of Wisconsin—Madison
幸福就是一切吗?对心理幸福感含义的探索
威斯康星大学麦迪逊分校 卡罗尔·D·赖夫
Reigning measures of psychological well-being have little theoretical grounding, despite an extensive literature on the contours of positive functioning. Aspects of well-being derived from this literature (i.e., self-acceptance, positive relations with others, autonomy, environmental mastery, purpose in life, and personal growth) were operationalized. Three hundred and twenty-one men and women, divided among young, middle-aged, and older adults, rated themselves on these measures along with six instruments prominent in earlier studies (i.e., affect balance, life satisfaction, self-esteem, morale, locus of control, depression). Results revealed that positive relations with others, autonomy, purpose in life, and personal growth were not strongly tied to prior assessment indexes, thereby supporting the claim that key aspects of positive functioning have not been represented in the empirical arena. Furthermore, age profiles revealed a more differentiated pattern of well-being than is evident in prior research.
尽管有关积极功能轮廓的文献非常丰富,但现有的心理幸福感测量方法却缺乏理论依据。从这些文献中衍生出的幸福感方面(即自我接纳、与他人建立积极关系、自主性、环境掌控、生活目标和自我成长)被具体化。321 名男性和女性,分为年轻人、中年人和老年人,对这些测量指标以及早期研究中常用的六个工具(即情绪平衡、生活满意度、自尊、士气、控制源、抑郁)进行了自我评价。结果显示,与他人建立积极关系、自主性、生活目标和自我成长与之前的评估指标关联并不紧密,这支持了积极功能的关键方面尚未在实证领域得到体现的观点。此外,年龄特征揭示了比以往研究中更复杂的幸福感模式。
The question of who in American society is happy has been extensively probed by survey researchers (e.g., Campbell, 1981; Herzog, Rodgers, & Woodworth, 1982; Veroff, Douvan, & Kulka, 1981). Recently, social psychologists have become interested in factors that influence people’s judgments about well-being, such as their mood states at the time of assessment (Schwarz & Clore, 1983) or whether their judgments are based on the frequency or intensity of positive feeling states (Diener, Larson, Levine, & Emmons, 1985). On a more general level, increased interest in the study of psychological well-being follows from the recognition that the field of psychology, since its inception, has devoted much more attention to human unhappiness and suffering than to the causes and consequences of positive functioning (Diener, 1984; Jahoda, 1958). The premise of this study is that there has been particular neglect at the most fundamental level in this realm, namely, the task of defining the essential features of psychological well-being. It is argued that much of the prior literature is founded on conceptions of well-being that have little theoretical rationale and, as a consequence, neglect important aspects of positive functioning. An alternative conception, based on the integration of several theoretical domains, is presented. Once operationalized, this formulation is then contrasted with indicators of well-being from the past literature to assess whether theory - guided conceptions define new dimensions of positive functioning not evident in prior empirical research.
美国社会中谁是幸福的这一问题已经受到了调查研究人员的广泛探讨(例如,Campbell,1981;Herzog,Rodgers & Woodworth,1982;Veroff,Douvan & Kulka,1981)。近期,社会心理学家开始对影响人们对幸福感判断的因素产生兴趣,例如他们在评估时的情绪状态(Schwarz & Clore,1983)或者他们的判断是否基于积极情绪状态的频率或强度(Diener,Larson,Levine & Emmons,1985)。从更一般的角度来看,对心理幸福感的研究兴趣增加是由于认识到心理学领域自诞生以来,一直比关注积极功能的原因和后果更多地关注人类的不快乐和痛苦(Diener,1984;Jahoda,1958)。本研究的前提是,在这个领域中最根本的层面,即定义心理幸福感的基本特征这一任务,一直被特别忽视。有人认为,许多早期文献是建立在缺乏理论依据的幸福感概念基础上的,因此忽视了积极功能的重要方面。本文提出了一个基于多个理论领域的整合的替代性概念。一旦具体化,这种表述随后就与过去的文献中的幸福感指标进行对比,以评估理论指导的概念是否定义了在早期实证研究中尚未显现的积极功能的新维度。
This research was supported by the Research Committee of the Graduate School of the University of Wisconsin—Madison. Special thanks are extended to Adena Bargad, Tim Blakeslee, Catherine O’Leary, and Stevens Smith for their contributions to various phases of this study. Correspondence concerning this article should be addressed to Carol D. Ryff, Department of Psychology, Brogdan Hall, University of Wisconsin, Madison, Wisconsin 53706.
本研究得到了威斯康星大学麦迪逊分校研究生院研究委员会的支持。特别感谢 Adena Bargad、Tim Blakeslee、Catherine O’Leary 和 Stevens Smith 对本研究各个阶段的贡献。关于本文的通信应寄给威斯康星大学麦迪逊分校心理学系 Carol D. Ryff,地址为:Brogdan Hall,威斯康星州麦迪逊市,邮编 53706。
Current Formulations of Well-Being: A Critique
当前幸福感的公式:批评
Although current indexes of subjective well-being have been extensively evaluated (e.g., Diener, 1984; Larson, Diener, & Emmons, 1985), such assessments have focused largely on the reliability and validity of existing measures. Thus, it is known that single - item indicators of well - being are less reliable than multi - item scales, that social desirability is not a major confound in this literature, and that ratings of life satisfaction tend to be more stable than affective aspects of well - being. When it comes to articulating the basic structure of psychological well - being, discussions nearly always center around the distinction between positive and negative affect and life satisfaction (Andrews & Withey, 1976; Bradburn, 1969; Bryant & Veroff, 1982; Diener & Emmons, 1984; Liang, 1984, 1985; Stock, Okun, & Benin, 1986). Because these dimensions are central to this literature, it is relevant to examine their origins. Bradburn’s (1969) classic work on the structure of psychological well - being provided the initial distinction between positive and negative affect. The aim of this research was to learn how certain macrolevel social changes (e.g., changes in education levels, employment patterns, urbanization, or political tensions) affected the life situations of individual citizens and, in turn, their sense of psychological well - being. A central question was what should be used as a dependent variable in studying these “difficulties in living” (p. 5). In reflecting on this issue, Bradburn stated that
尽管目前对主观幸福感的指标进行了广泛评估(例如,Diener,1984;Larson,Diener & Emmons,1985),但这些评估主要集中在现有测量方法的可靠性和有效性上。因此,人们已经知道,单一项目的幸福感指标比多项目量表的可靠性低,社会期望在这一文献中并不是一个主要的混淆因素,而且生活满意度的评分往往比幸福感的情感方面更稳定。当涉及到阐述心理幸福感的基本结构时,讨论几乎总是围绕积极情感、消极情感和生活满意度之间的区别展开(Andrews & Withey,1976;Bradburn,1969;Bryant & Veroff,1982;Diener & Emmons,1984;Liang,1984,1985;Stock,Okun & Benin,1986)。由于这些维度是这一文献的核心,因此有必要考察它们的起源。Bradburn(1969)关于心理幸福感结构的经典研究首次区分了积极情感和消极情感。这项研究的目的是了解某些宏观层面的社会变化(例如,教育水平的变化、就业模式、城市化或政治紧张局势)如何影响个体公民的生活状况,进而影响他们的心理幸福感。一个核心问题是,在研究这些“生活的困难”时,应该使用什么作为因变量(第 5 页)。在思考这个问题时,Bradburn 表示:
“There are no clear-cut criteria for making this choice. Indeed, much of the art of scientific investigation lies in the choice of the variables to study; and the difference between success and failure appears to lie more in the realm of intuition and luck than the scientific enterprise, (p. 6)”
“对于做出这种选择,并没有明确的标准。事实上,科学研究的艺术很大程度上在于选择要研究的变量;而成功与失败的区别似乎更多地在于直觉和运气,而不是科学事业本身(第 6 页)”
Following from common sense as well as historical reasons, Bradburn (1969) and colleagues decided to focus on happiness as the outcome variable. Reference was made to Aristotle’s Nicomachean Ethics (1947), which states that the highest of all goods achievable by human action is happiness (the latter term serving as the translation for the Greek word eudaimonia). The subsequent decision to operationalize happiness as the balance between positive and negative affect was essentially an empirical one. That is, pilot investigations had revealed that answers to questions about positive functioning (e.g., “During the past few weeks did you ever feel pleased about having accomplished something?”) did not predict answers to questions about negative functioning (e.g., “During the past few weeks did you ever feel upset because someone criticized you?”) The two dimensions were also found to have different correlates—hence, the argument that positive and negative affect are distinct dimensions of well-being and that the balance between them serves as an index of happiness. Two observations are pertinent to the assessment of this ground-breaking study. First, the central objective of the research was not to define the basic structure of psychological well-being. Rather, the focus was on social change, of which little occurred over the 1 - year period during which the study was conducted. The demonstration that positive and negative affect were independent appeared to be a serendipitous finding of a study conceived for other purposes. Second, it is questionable whether the Greek word eudaimonia is properly translated as happiness. Waterman (1984) has argued that such a translation suggests an equivalence between eudaimonism and hedonism, which would have been contrary to the important distinction made by the Greeks between the gratification of right desires and wrong desires. From this alternative perspective, eudaimonia is more precisely defined as “the feelings accompanying behavior in the direction of, and consistent with, one’s true potential” (Waterman, 1984, p. 16). Daimon, then, is an ideal in the sense of an excellence, a perfection toward which one strives, and it gives meaning and direction to one’s life. Had Aristotle’s view of eudaimonia as the highest of all good been translated as realization of one’s true potential rather than as happiness, the past 20 years of research on psychological well-being might well have taken different directions.
根据常识以及历史原因,Bradburn(1969)及其同事决定将幸福感作为结果变量。他们引用了亚里士多德的《尼各马科伦理学》(1947),其中指出,人类行为所能实现的最高善是幸福(后者的术语是希腊词 eudaimonia 的翻译)。随后将幸福感具体化为积极情感与消极情感之间的平衡,本质上是一个实证决定。也就是说,初步研究表明,关于积极功能的问题(例如,“在过去的几周里,你是否因为完成某件事而感到高兴?”)的答案并不能预测关于消极功能的问题(例如,“在过去的几周里,你是否因为受到别人的批评而感到不安?”)的答案。这两个维度也被发现有不同的相关性——因此,积极情感和消极情感是幸福感的两个不同维度,它们之间的平衡可以作为幸福感的指标。对于这项开创性研究的评估,有两个观点值得关注。首先,这项研究的核心目标并不是定义心理幸福感的基本结构。相反,重点是社会变化,在这项研究进行的 1 年期间,社会变化很少。积极情感和消极情感的独立性似乎是一个偶然发现,而这项研究最初并不是为了这个目的而设计的。其次,希腊词 eudaimonia 是否被正确地翻译为幸福感是值得怀疑的。Waterman(1984)认为,这种翻译暗示了 eudaimonism 和 hedonism 之间的等同性,这与希腊人对正当欲望和错误欲望的满足之间的重要区别背道而驰。从这种替代视角来看,eudaimonia 更精确地被定义为“伴随着朝着并符合一个人真正潜力的方向的行为的情感”(Waterman,1984,第 16 页)。因此,daimon 是一种卓越的理想,是人们努力追求的完美境界,它赋予了生活意义和方向。如果将亚里士多德对 eudaimonia 作为最高善的看法翻译为实现一个人的真正潜力,而不是幸福,那么过去 20 年关于心理幸福感的研究可能会朝着不同的方向发展。
Happiness, however, has not been the only indicator of positive psychological functioning in previous empirical studies. Much literature has also been generated on well - being defined as life satisfaction. Prominent measures in this domain (e.g., Life Satisfaction Index, or LSI; Neugarten, Havighurst, & Tobin, 1961) were also developed for purposes other than defining the basic structure of psychological well - being. The LSI, for example, was constructed to differentiate persons who were aging successfully from those who were not. The general neglect of theory in formulating life satisfaction and related constructs, such as morale, has been acknowledged as a significant limitation of these gerontological research instruments (Sauer & Warland, 1982). The absence of theory notwithstanding, efforts to define the structure of well - being on the basis of these measures persists. Recent investigations have tested various models of subjective well - being (e.g., Liang, 1984,1985; Liang & BoUen, 1983; Stock et al., 1986), using multivariate analyses of the LSI, the Affect Balance Scale, and the Philadelphia Geriatric Center Morale Scale (Lawton, 1975). These structural analyses continue to emphasize a basic distinction between positive and negative affect as well as various other factors (e.g., congruence, long - term positive effect). The point of this brief review is to bring attention to the fact that the literature on psychological well - being was not, in its inception, strongly theory - guided. Instruments were developed for other purposes, and these then became the standard bearers for defining positive functioning. Such conceptions continue to serve as outcome variables in a vast array of studies aimed at identifying factors that influence well - being and predicting who has it. Even ongoing efforts to define the basic structure of well - being follow from multivariate analyses of these early instruments. As noted earlier, the central argument of this research is that these prior formulations neglect important aspects of positive psychological functioning. To understand what is missing, it is necessary to consider another literature that, despite its central concern with defining positive functioning, has rarely been a part of the empirical agenda on psychological well - being.
然而,幸福感并不是以往实证研究中积极心理功能的唯一指标。关于将幸福感定义为生活满意度的文献也很多。在这个领域中,一些重要的测量方法(例如,生活满意度指数,即 LSI;Neugarten,Havighurst & Tobin,1961)也是为了其他目的而不是定义心理幸福感的基本结构而开发的。例如,LSI 是为了区分成功老龄化的人和不成功的人而构建的。在制定生活满意度及相关构念(如士气)时,理论的普遍缺失被认为是这些老年学研究工具的一个重要局限性(Sauer & Warland,1982)。尽管缺乏理论,但基于这些测量方法来定义幸福感结构的努力仍在继续。最近的研究已经测试了各种主观幸福感的模型(例如,Liang,1984,1985;Liang & BoUen,1983;Stock 等人,1986),使用了 LSI、情绪平衡量表和费城老年中心士气量表(Lawton,1975)的多变量分析。这些结构分析继续强调积极情感和消极情感之间的基本区别以及其他各种因素(例如,一致性、长期积极效应)。这个简短的综述的目的是让人们注意到,心理幸福感的文献在其起源时并不是以理论为导向的。这些工具是为其他目的开发的,然后成为定义积极功能的标准。这些概念继续作为结果变量,用于大量旨在识别影响幸福感的因素并预测谁拥有幸福感的研究。即使是目前正在进行的定义幸福感基本结构的努力,也是基于这些早期工具的多变量分析。正如前面提到的,本研究的核心论点是这些早期的公式忽视了积极心理功能的重要方面。要了解缺失了什么,有必要考虑另一类文献,尽管其核心是定义积极功能,但很少成为心理幸福感实证议程的一部分。
Contours of Well-Being: Alternative Perspectives
幸福感的轮廓:替代视角
The extensive literature aimed at defining positive psychological functioning includes such perspectives as Maslow’s (1968) conception of self - actualization, Rogers’s (1961) view of the fully functioning person, Jung’s (1933; Von Franz, 1964) formulation of individuation, and Allport’s (1961) conception of maturity. A further domain of theory for defining psychological well - being follows from life span developmental perspectives, which emphasize the differing challenges confronted at various phases of the life cycle. Included here are Erikson’s (1959) psychosocial stages model, Buhler’s basic life tendencies that work toward the fulfillment of life (Buhler, 1935; Buhler & Massarik, 1968), and Neugarten’s (1968,1973) descriptions of personality change in adulthood and old age. Jahoda’s (1958) positive criteria of mental health, generated to replace definitions of well - being as the absence of illness, also offer extensive descriptions of what it means to be in good psychological health. These perspectives have had meager empirical impact (see Ryff, 1982, 1985). One obvious reason is that few of them have been accompanied by credible assessment procedures. Researchers attracted to such formulations have been immobilized by the absence of valid measures. A second major stumbling block is that the criteria of well - being generated are diverse and extensive. It is difficult to determine which among the many descriptions should serve as the essential features of positive psychological functioning. A third objection has been the claim that this literature is hopelessly value laden in its pronouncements about how people should function. Ryff (1989a) has argued that the preceding perspectives, despite their loose conceptualizations, can be integrated into a more parsimonious summary. That is, when one reviews the characteristics of well - being described in these various formulations, it becomes apparent that many theorists have written about similar features of positive psychological functioning. These points of convergence in the prior theories constitute the core dimensions of the alternative formulation of psychological well - being pursued in this research. They are briefly summarized here (detailed descriptions of the characteristics and how they were derived are available in Ryff, 1989a). A major aim of the present study was to operationalize these dimensions.
旨在定义积极心理功能的广泛文献包括马斯洛(Maslow,1968)的自我实现概念、罗杰斯(Rogers,1961)对完全功能人的看法、荣格(Jung,1933;Von Franz,1964)的个体化公式以及奥尔波特(Allport,1961)对成熟的看法。另一个用于定义心理幸福感的理论领域是基于生命周期发展视角,强调在生命周期的不同阶段所面临的不同挑战。其中包括埃里克森(Erikson,1959)的心理社会发展阶段模型、布勒(Buhler,1935;Buhler & Massarik,1968)的基本生命倾向,这些倾向致力于实现生命的价值,以及纽加滕(Neugarten,1968,1973)对成年期和老年期人格变化的描述。乔达(Jahoda,1958)提出的积极心理健康标准旨在取代将幸福感定义为无病状态的定义,也对良好的心理健康的含义进行了广泛描述。这些观点对实证研究的影响甚微(参见 Ryff,1982,1985)。一个显而易见的原因是,其中很少有观点附带有可信的评估程序。被这些观点吸引的研究人员由于缺乏有效的测量方法而陷入僵局。第二个主要障碍是,所生成的幸福感标准是多种多样的,范围广泛。很难确定在众多描述中,哪些应该作为积极心理功能的基本特征。第三个反对意见是,有人声称这一文献在其关于人们应该如何发挥作用的声明中充满了价值观。Ryff(1989a)认为,尽管这些观点的概念化较为松散,但可以将它们整合到一个更简洁的总结中。也就是说,当人们回顾这些不同观点中描述的幸福感特征时,会发现许多理论家都写过关于积极心理功能的相似特征。这些先前理论中的共同点构成了本研究中追求的心理幸福感的替代性表述的核心维度。它们在这里被简要总结(关于这些特征及其推导的详细描述可在 Ryff,1989a 中找到)。本研究的一个主要目标是将这些维度具体化。
Self - acceptance.
自我接纳
The most recurrent criterion of well - being evident in the previous perspectives is the individual’s sense of self - acceptance. This is defined as a central feature of mental health as well as a characteristic of self - actualization, optimal functioning, and maturity. Life span theories also emphasize acceptance of self and of one’s past life. Thus, holding positive attitudes toward oneself emerges as a central characteristic of positive psychological functioning.
在先前的观点中,最常出现的幸福感标准是个体的自我接纳感。这被认为是心理健康的核心特征,也是自我实现、最佳功能和成熟的特征。生命周期理论也强调对自我和自己过去生活的接纳。因此,对自己的积极态度成为积极心理功能的核心特征。
Positive relations with others. Many of the preceding theories emphasize the importance of warm, trusting interpersonal relations. The ability to love is viewed as a central component of mental health. Self - actualizers are described as having strong feelings of empathy and affection for all human beings and as being capable of greater love, deeper friendship, and more complete identification with others. Warm relating to others is posed as a criterion of maturity. Adult developmental stage theories also emphasize the achievement of close unions with others (intimacy) and the guidance and direction of others (generativity). Thus, the importance of positive relations with others is repeatedly stressed in these conceptions of psychological well - being.
与他人建立积极关系。许多先前的理论强调温暖、信任的人际关系的重要性。爱的能力被视为心理健康的核心组成部分。自我实现者被描述为对所有人类都有强烈的同理心和感情,并且能够拥有更伟大的爱、更深厚的友谊以及与他人更完全的认同。与他人建立温暖的关系被视为成熟的标准。成年发展阶段理论也强调与他人建立亲密关系(亲密性)以及指导和引导他人(生成性)。因此,在这些心理幸福感的概念中,反复强调了与他人建立积极关系的重要性。
Autonomy.
自主性
There is considerable emphasis in the prior literature on such qualities as self - determination, independence, and the regulation of behavior from within. Self - actualizers, for example, are described as showing autonomous functioning and resistance to enculturation. The fully functioning person is also described as having an internal locus of evaluation, whereby one does not look to others for approval, but evaluates oneself by personal standards. Individuation is seen to involve a deliverance from convention, in which the person no longer clings to the collective fears, beliefs, and laws of the masses. The process of turning inward in the later years is also seen by life span developmentalists to give the person a sense of freedom from the norms governing everyday life. Environmental mastery. The individual’s ability to choose or create environments suitable to his or her psychic conditions is defined as a characteristic of mental health. Maturity is seen to require participation in a significant sphere of activity outside of self. Life span development is also described as requiring the ability to manipulate and control complex environments. These theories emphasize one’s ability to advance in the world and change it creatively through physical or mental activities. Successful aging also emphasizes the extent to which the individual takes advantage of environmental opportunities. These combined perspectives suggest that active participation in and mastery of the environment are important ingredients of an integrated framework of positive psychological functioning.
在早期文献中,对自我决定、独立性和内在行为调节等品质给予了相当的重视。例如,自我实现者被描述为表现出自主功能并对文化适应具有抵抗力。完全功能的人也被描述为具有内在的评价中心,在这里,一个人不是寻求他人的认可,而是根据个人标准来评价自己。个体化被认为涉及从传统中解脱出来,在这种情况下,个人不再依附于大众的集体恐惧、信仰和法律。生命周期发展学家还认为,晚年向内转的过程也使个人摆脱了日常生活的规范,从而获得了一种自由感。环境掌控。个人选择或创造适合其心理条件的环境的能力被认为是心理健康的一个特征。成熟被认为需要参与自我之外的重要活动领域。生命周期发展也被描述为需要操纵和控制复杂环境的能力。这些理论强调个人通过身体或心理活动在世界上进步并创造性地改变世界的能力。成功老龄化也强调个人利用环境机会的程度。这些综合观点表明,积极参与并掌控环境是积极心理功能的综合框架的重要组成部分。
Purpose in life. Mental health is defined to include beliefs that give one the feeling there is purpose in and meaning to life. The definition of maturity also emphasizes a clear comprehension of life’s purpose, a sense of directedness, and intentionality. The life span developmental theories refer to a variety of changing purposes or goals in life, such as being productive and creative or achieving emotional integration in later life. Thus, one who functions positively has goals, intentions, and a sense of direction, all of which contribute to the feeling that life is meaningful.
生活目标。心理健康被定义为包括那些让人觉得生活有目标和意义的信念。成熟的定义也强调对人生目标的清晰理解、方向感和意向性。生命周期发展理论提到了生活中各种变化的目标或目的,例如富有成效和创造力,或者在晚年实现情感整合。因此,积极发挥作用的人有目标、意图和方向感,所有这些都让人觉得生活是有意义的。
Personal growth.
个人成长
Optimal psychological functioning requires not only that one achieve the prior characteristics, but also that one continue to develop one’s potential, to grow and expand as a person. The need to actualize oneself and realize one’s potentialities is central to the clinical perspectives on personal growth. Openness to experience, for example, is a key characteristic of the fully functioning person. Such an individual is continually developing and becoming, rather than achieving a fixed state wherein all problems are solved. Life span theories also give explicit emphasis to continued growth and the confronting of new challenges or tasks at different periods of life. Thus, continued personal growth and self - realization is a prominent theme in the aforementioned theories. It may also be the dimension of well - being that comes closest to Aristotle’s notion of eudaimonia as described earlier. In sum, the integration of mental health, clinical, and life span developmental theories points to multiple converging aspects of positive psychological functioning. Conceptually, certain of these criteria appear to be separate in meaning from the dimensions that have long guided studies of psychological well - being (e.g., positive and negative affect, life satisfaction). That is, little in the current empirical literature emphasizes such qualities as positive relations with others, autonomy, purpose in life, or personal growth as key components of well - being. The empirical challenge, therefore, is to operationalize these theory - guided dimensions so that they may be examined vis - a - vis the reigning indexes of positive functioning. Such comparisons will clarify whether the alternative approach affords criteria of psychological well - being that are theoretically and empirically distinct from existing formulations.
最佳心理功能不仅需要个人实现上述特征,还需要个人继续发展自己的潜力,作为一个人不断成长和扩展。实现自我和实现自己的潜力是临床视角下个人成长的核心。例如,对经验的开放性是完全功能人的关键特征。这样的人总是在不断发展和成长,而不是达到一个所有问题都得到解决的固定状态。生命周期理论也明确强调在生命的不同时期继续成长以及面对新的挑战或任务。因此,持续的个人成长和自我实现是上述理论中的一个重要主题。这也可能是最接近前面描述的亚里士多德关于 eudaimonia 概念的幸福感维度。总之,心理健康、临床和生命周期发展理论的整合指出了积极心理功能的多个汇聚方面。从概念上讲,其中某些标准似乎在意义上与长期以来指导心理幸福感研究的维度(例如,积极和消极情感、生活满意度)是分开的。也就是说,目前的实证文献中很少强调与他人建立积极关系、自主性、生活目标或个人成长等品质是幸福感的关键组成部分。因此,实证挑战是将这些理论指导的维度具体化,以便与现有的积极功能指标进行对比。这样的对比将阐明替代方法是否提供了与现有公式在理论和实证上都不同的心理幸福感标准。
Method
方法
Sample
样本
Respondents consisted of 321 men and women divided among young, middle - aged, and older adults. Multiple age groups were selected so that it would be possible to examine the life course patterning of the previously described dimensions of well - being. The young adults (n = 133, mean age = 19.53, SD = 1.57) were contacted through an educational institution, and the middle - aged adults (n = 108, mean age = 49.85, SD = 9.35) and the older adults (n = 80, mean age = 74.96, SD = 7.11) were contacted through community and civic organizations. The educational levels of the three groups were quite high. Nearly 60% of the middle - aged respondents had completed 4 years of college, and almost a third had completed graduate school. For the older adult group, approximately 47% had completed 4 years of college, and an additional 30% had done some graduate work. With regard to health ratings, the older respondents had significantly lower self - ratings than the middle - aged or young adult groups, F(2,319) = 3.59, p < .001, but analysis of the response frequencies by health category revealed that 82.6% of the older respondents rated their health as excellent or good. Only 2.5% rated their health as poor. With regard to financial status, the vast majority of respondents rated their situation as excellent or good. There were, however, sex differences, with women overall rating their finances less positively than men, F(1, 319) = 6.48, p < .05. Nearly all of the young adults were single, most of the middle - aged respondents were married, and about half of the older respondents were married. As age trends would predict, nearly one third of the older individuals were widowed. In terms of religious background, most of the sample were Catholic or Protestant. Overall, then, this was a sample of relatively healthy, well - educated, financially comfortable respondents. Although these characteristics limit the overall generalizability of the findings, they do provide a useful context for the assessment of optimal psychological functioning.
受试者包括 321 名男性和女性,分为年轻人、中年人和老年人。选择多个年龄组是为了能够考察上述幸福感维度的生命历程模式。年轻人(n = 133,平均年龄 = 19.53 岁,标准差 = 1.57)通过教育机构联系,中年人(n = 108,平均年龄 = 49.85 岁,标准差 = 9.35)和老年人(n = 80,平均年龄 = 74.96 岁,标准差 = 7.11)通过社区和民间组织联系。三个群体的教育水平都很高。近 60% 的中年受试者完成了四年大学学业,几乎三分之一完成了研究生学业。对于老年组,约 47% 的人完成了四年大学学业,另外 30% 的人接受过一些研究生教育。在健康评分方面,老年受试者的自我评分明显低于中年或年轻人群,F(2,319)= 3.59,p < .001,但按健康类别分析反应频率发现,82.6% 的老年受试者认为自己的健康状况良好或优秀。只有 2.5% 的人认为自己的健康状况差。在财务状况方面,绝大多数受试者认为自己的状况良好或优秀。然而,存在性别差异,女性总体上对自己的财务状况评价不如男性积极,F(1,319)= 6.48,p < .05。几乎所有年轻人都未婚,大多数中年受试者已婚,大约一半的老年受试者已婚。正如年龄趋势所预测的那样,近三分之一的老年人是丧偶者。在宗教背景方面,大多数样本是天主教徒或新教徒。总的来说,这是一个相对健康、受过良好教育、经济舒适的受试者样本。尽管这些特征限制了研究结果的整体可推广性,但它们为评估最佳心理功能提供了一个有用的背景。
Measures
测量
A primary objective of this research was to operationalize the six dimensions of psychological well - being generated from the integration of the previously discussed theories. To maximize the fit between the assessment instruments and the conceptual literature, new measures were constructed. Although existing inventories include scales of similar names (e.g., the Self - Acceptance scale of the California Psychological Inventory), these instruments were developed for other purposes, and their items do not reflect the conceptual definitions guiding the present study. The scale construction and assessment procedures for the new measures follow. As these instruments were administered jointly with other well - used indexes of psychological well - being, a further section details the measures used in the prior literature. Construction and assessment of new measures of well - being. The operationalization of the proposed dimensions of psychological well - being is based on the construct - oriented approach to personality assessment (Wiggins, 1973). Of key importance in the empirical translation is the presence of psychological theory that specifies the constructs of interest. Each of the six dimensions described earlier are theoretical constructs that point to different aspects of positive functioning. The objective is to develop structured, self - report instruments that serve as indicators of these constructs. The procedures also parallel those followed in operationalizing a subset of the previous theories, namely, life span developmental conceptions (see Ryff & Heincke, 1983). The scale construction process was begun by writing definitions for the six dimensions of well - being. These were derived from their theoretical formulations (see Ryff, 1989a). The scale definitions, presented in terms of high versus low scorers, are presented in Table 1.

On the basis of the bipolar scale definitions, approximately 80 items were generated for each scale, with half written for each pole of the definition. The items were generated by three item writers whose instructions were to write self - descriptive items that fit with the theoretical definitions and that could be applicable to both sexes as well as to adults of any age. The items generated by these procedures were subjected to preliminary evaluations according to the following criteria: ambiguity or redundancy of the items, lack of fit of the items with their scale definitions, lack of distinctness of items with items from other scales, inability of items to produce variable responses, and whether all aspects of the scale definitions were covered by the items. On the basis of these procedures, over half of the items from each scale were deleted. The remaining item pools, consisting of 32 items per scale (16 positive and 16 negative) were administered to the research sample of 321 young, middle - aged, and older adults. Respondents rated themselves on each item according to a 6 - point scale ranging from strongly agree to strongly disagree. Using these data, item - to - scale correlations were computed for all of the items with all of the scales. Items that correlated more highly with a scale other than their own or that showed low correlations with their total scale were deleted. The internal consistency (α) coefficients for the scales were as follows: self - acceptance, .93; positive relations with others, .91; autonomy, .86; environmental mastery, .90; purpose in life, .90; and personal growth, .87. Each scale at this stage consisted of 20 items, divided approximately equally between positive and negative items.
本研究的主要目标是将上述理论整合生成的心理幸福感的六个维度具体化。为了最大限度地使评估工具与概念文献相匹配,构建了新的测量方法。尽管现有的量表中包含名称相似的量表(例如,加利福尼亚心理量表中的自我接纳量表),但这些工具是为其他目的开发的,其条目并不反映指导本研究的概念定义。新测量方法的构建和评估程序如下。由于这些工具是与过去常用的其他心理幸福感指数一起使用的,因此在后面的部分详细介绍了过去文献中使用的测量方法。构建和评估新的幸福感测量方法。所提出的心理幸福感维度的具体化基于人格评估的构建导向方法(Wiggins,1973)。在实证转换中,关键是要有指定感兴趣构建的心理理论。前面描述的六个维度都是指向积极功能不同方面的理论构建。目标是开发出结构化的自我报告工具,作为这些构建的指标。这些程序也与过去理论的一个子集(即生命周期发展观念)的具体化过程相似(参见 Ryff & Heincke,1983)。量表构建过程首先为幸福感的六个维度编写定义。这些定义是根据其理论公式推导出来的(参见 Ryff,1989a)。量表定义以高分者与低分者对比的形式呈现,见表 1。根据双极量表定义,每个量表大约生成了 80 个项目,其中一半为定义的每个极点编写。这些项目由三名项目编写者生成,他们的指示是编写符合理论定义的自我描述项目,并且可以适用于不同性别以及任何年龄的成年人。根据这些程序生成的项目根据以下标准进行了初步评估:项目是否模糊或冗余,项目是否不符合其量表定义,项目与其他量表的项目是否缺乏区别,项目是否无法产生不同的反应,以及量表定义的所有方面是否都被项目涵盖。根据这些程序,每个量表中超过一半的项目被删除。剩下的项目池由每个量表的 32 个项目组成(16 个正面项目和 16 个负面项目),并应用于由 321 名年轻、中年和老年成年人组成的样本。受试者根据 6 点量表(从“非常同意”到“非常不同意”)对每个项目进行自我评价。利用这些数据,计算了所有项目与所有量表的项目与量表的相关性。与自身量表相关性较低或与其他量表相关性较高的项目被删除。量表的内部一致性(α)系数如下:自我接纳为 0.93,与他人建立积极关系为 0.91,自主性为 0.86,环境掌控为 0.90,生活目标为 0.90,个人成长为 0.87。在这一阶段,每个量表由 20 个项目组成,正面项目和负面项目大致相等。
The test - retest reliability coefficients for the 20 - item scales over a 6 - week period on a subsample of respondents (n = 117) were as follows: self - acceptance, .85; positive relations with others, .83; autonomy, .88; environmental mastery, .81; purpose in life, .82; and personal growth, .81. Evidence for the validity of the scales is examined in the Results section. Before presenting those findings, a brief summary of the measures of well - being from the prior literature included in the assessment battery is presented. Prior measures of well - being. Six measures of psychological functioning were administered to the respondents in order to provide comparative information regarding the newly constructed measures. These instruments were selected because of their prominence in previous studies on psychological well - being and adjustment in middle and later life. Although the relation between the new measures and the broad domain of personality is also of interest and is an important avenue for future investigation, the present objective was to test the assertion that existing indexes of psychological well - being do not address aspects of positive functioning emphasized in the theoretical literature. As such, it was imperative to use measures from the well - being domain. These instruments are detailed in the following paragraphs.
在对 117 名受试者的一个子样本进行 6 周的测试 - 再测试期间,20 个项目量表的可靠性系数如下:自我接纳为 0.85,与他人建立积极关系为 0.83,自主性为 0.88,环境掌控为 0.81,生活目标为 0.82,个人成长为 0.81。量表的有效性证据在结果部分进行检验。在介绍这些发现之前,先简要总结一下评估工具中包含的过去文献中的幸福感测量方法。过去的幸福感测量方法。为了提供有关新构建测量方法的比较信息,对受试者进行了六种心理功能测量。选择这些工具是因为它们在以往关于中年和晚年心理幸福感和适应性的研究中具有突出地位。尽管新测量方法与人格广泛领域之间的关系也令人感兴趣,并且是未来研究的一个重要方向,但目前的目标是检验现有心理幸福感指数是否没有涉及理论文献中强调的积极功能方面的说法。因此,使用幸福感领域的测量工具是至关重要的。这些工具在以下段落中详细介绍。
1. Affect Balance Scale. As noted earlier, Bradburn (1969) developed the Affect Balance Scale to measure psychological well - being, which was defined as avowed happiness. The measure consists of a 10 - item scale, with 5 items that measure positive affect and 5 that measure negative affect. Scoring is conducted by giving respondents a value of 1 for each yes response to the items making up the scale. The responses are summed separately for the positive affect and negative affect items. The difference between the scores is then computed, and a constant is added to remove negative summary scores. Bradburn (1969) reported test - retest reliability on a sample of 200 over a 3 - day period for positive affect, negative affect, and affect balance to be respectively, .83, .81, and .76. With regard to validity, Bradburn showed that positive affect correlated with single - item indicators of happiness from .34 to .38 and with corresponding values for negative affect at —.33 and —.38. Bradburn had hypothesized that positive and negative affect were distinct dimensions; this was supported by small associations between the scales (.04 - .15). Factor analyses have also indicated distinct orthogonal dimensions.
1. 情感平衡量表。如前所述,Bradburn(1969)开发了情感平衡量表,用于测量心理幸福感,其被定义为公开宣称的幸福感。该量表由 10 个项目组成,其中 5 个项目测量积极情感,5 个项目测量消极情感。评分是通过为量表中的每个“是”回答给予受试者 1 分来进行的。积极情感和消极情感项目的反应分别求和。然后计算得分之间的差异,并加上一个常数以消除负的总分。Bradburn(1969)报告称,在 200 名样本中,经过 3 天的测试 - 再测试,积极情感、消极情感和情感平衡的可靠性分别为 0.83、0.81 和 0.76。关于有效性,Bradburn 表明,积极情感与幸福感的单一项目指标相关性为 0.34 至 0.38,而消极情感的相关值为 - 0.33 和 - 0.38。Bradburn 曾假设积极情感和消极情感是不同的维度;这一假设得到了量表之间的小相关性(0.04 - 0.15)的支持。因子分析也表明了不同的正交维度。
2. Life satisfaction. The Life Satisfaction Index (LSI) was developed as part of the Kansas City Study of Adult Life (Neugarten et al., 1961) to measure the individual’s evaluation of his or her own psychological well - being. Life satisfaction was defined as including five components: zest (versus apathy), resolution and fortitude, congruence between desired and achieved goals, positive self - concept, and mood tone. The Life Satisfaction Index A (LSI - A) consists of 20 statements with which the respondent agrees or disagrees. Neugarten et al. (1961) reported the mean score on the LSI - A to be 12.4 (SD = 4.4). Scores on the LSI - A correlated .39 with clinical ratings. Reliability of the LSI - Z, which consists of 13 of the LSI - A items, was .79. Although life satisfaction has been described as the most widely studied variable in aging research (Maddox & Wiley, 1976), evidence for its reliability and validity has not been extensive (Sauer & Warland, 1982).
2. 生活满意度。生活满意度指数(LSI)是作为堪萨斯城成人生活研究(Neugarten 等人,1961)的一部分开发的,用于测量个体对自己心理幸福感的评估。生活满意度被定义为包括五个组成部分:热情(与冷漠相反)、决心和坚韧、期望目标与实现目标之间的一致性、积极的自我概念以及情绪基调。生活满意度指数 A(LSI - A)由 20 个陈述组成,受试者可以表示同意或不同意。Neugarten 等人(1961)报告称,LSI - A 的平均得分为 12.4(标准差 = 4.4)。LSI - A 的得分与临床评分的相关性为 0.39。LSI - Z(由 LSI - A 的 13 个项目组成)的可靠性为 0.79。尽管生活满意度被认为是老龄化研究中最广泛研究的变量(Maddox & Wiley,1976),但关于其可靠性和有效性的证据并不充分(Sauer & Warland,1982)。
3. Self - esteem. Rosenberg (1965) defined self - esteem as self - acceptance, a basic feeling of self - worth. His Self - Esteem Scale was originally developed for high school students, but it has been used extensively with older groups of adults (Breytspraak & George, 1982). The instrument consists of 10 items reported along a 4 - point continuum from strongly agree to strongly disagree. Rosenberg reported a reproducibility coefficient of .92 and a scaleability coefficient of .72. With regard to validity, he reported significant correlations between self - esteem and clinical ratings of depression. The Self - Esteem Scale was included in this study because of its apparent resemblance to the dimension of self - acceptance in the proposed formulation of psychological well - being.
3. 自尊。Rosenberg(1965)将自尊定义为自我接纳,即一种基本的自我价值感。他的自尊量表最初是为高中生开发的,但它已被广泛用于年龄较大的成年人群体(Breytspraak & George,1982)。该工具由 10 个项目组成,受试者可以在从“非常同意”到“非常不同意”的 4 点量表上进行报告。Rosenberg 报告称,该量表的可重复性系数为 0.92,量表系数为 0.72。关于有效性,他报告称自尊与临床抑郁评分之间存在显著相关性。由于自尊量表显然与本研究提出的心理幸福感中的自我接纳维度相似,因此将其纳入本研究。
4. Morale. The Revised Philadelphia Geriatric Center Morale Scale was developed by Lawton (1975). High morale is defined as a basic sense of satisfaction with oneself, a feeling that there is a place in the environment for oneself, and an acceptance of what cannot be changed. It was designed to measure morale among the very old and was based primarily on an institutional population. The original instrument contained 22 items, but it was reduced to 17 items in the revised version. Lawton (1972) reported split - half reliability estimates for the 22 - item scale to be .79 on a sample of 300. The coefficient of internal consistency (Kuder - Richardson 20) was .81. Correlations of the original scale with judges’ ratings ranged from .43 to .57.
4. 士气。修订版费城老年中心士气量表是由 Lawton(1975)开发的。高士气被定义为对自己基本的满意度,一种感觉自己在环境中有一席之地的感觉,以及对无法改变的事情的接受。该量表旨在测量非常老年人的士气,主要基于机构人群。原始工具包含 22 个项目,但在修订版中减少到 17 个项目。Lawton(1972)报告称,在 300 名样本中,22 个项目量表的分半可靠性估计为 0.79。内部一致性系数(Kuder - Richardson 20)为 0.81。原始量表与评分员评分的相关性范围为 0.43 至 0.57。
5. Locus of control. The newly proposed dimension of autonomy appeared to be similar to notions of control prominent in prior research. Thus, Levenson’s (1974) three locus of control subscales were used to assess these parallels. The subscales were generated in response to the claim that Rotter’s (1966) Internal - External Scale was not unidimensional, but could be separated into various factors: felt mastery over one’s personal life, expectancies of control over political institutions, and one’s beliefs about the role of internal and external forces in society. Levenson’s subscales were designed to measure perceived mastery over one’s life and belief in chance as separate from expectancy for control by powerful others. Two studies were reported that validated the separation of locus of control into the internal, powerful others, and chance dimensions (Levenson, 1974). Each subscale consists of eight items in a Likert format, with a 6 - point scale ranging from strongly agree to strongly disagree. The subscales can be scored independently, with a range of possible scores from 0 to 48. Estimates of internal consistency for the subscales compare favorably with those found for the Rotter (1966) scale. Kuder - Richardson reliabilities were .64 for the Internal subscale, .77 for the Powerful Others subscale, and .78 for the Chance subscale. Levenson’s multidimensional scale has also shown adequate test - retest reliability for a 1 - week period: Internal subscale, .64; Powerful Others subscale, .74; and Chance subscale, .78. Factor analysis of the responses of 329 college men supported the conceptualization of three independent dimensions of locus of control. The instrument has been used in studies with aged persons (Lachman, 1986).
5. 控制源。新提出的自主性维度似乎与早期研究中突出的控制观念相似。因此,使用了 Levenson(1974)的三个控制源分量表来评估这些相似之处。这些分量表是针对 Rotter(1966)的内外控制量表不是单维度的这一说法而生成的,而是可以分为几个因素:对自己个人生活的掌控感、对政治机构的控制期望以及对社会中内外力量作用的信念。Levenson 的分量表旨在测量对个人生活的感知掌控以及对机会的信念,这与对有权力的他人的控制期望是分开的。有两篇研究报告验证了控制源可以分为内部、有权力的他人和机会三个维度(Levenson,1974)。每个分量表由 8 个李克特格式的项目组成,采用 6 点量表,从“非常同意”到“非常不同意”。这些分量表可以独立计分,可能的得分范围为 0 到 48。这些分量表的内部一致性估计与 Rotter(1966)量表的结果相当。Kuder - Richardson 可靠性分别为:内部分量表 0.64,有权力的他人分量表 0.77,机会分量表 0.78。Levenson 的多维量表也显示出 1 周内的测试 - 再测试可靠性良好:内部分量表 0.64,有权力的他人分量表 0.74,机会分量表 0.78。对 329 名大学生的反应进行因子分析支持了控制源三个独立维度的概念。该工具已在老年人研究中使用(Lachman,1986)。
6. Depression. Much research on psychological well - being has been conducted with measures of maladjustment (Lawton, 1984). In this framework, well - being is conceived of as the absence of illness. Thus, an instrument was included to parallel this approach to well - being. Zung’s (1965) Depression Scale consists of a 20 - item self - rating scale designed to assess depression as a psychiatric disorder. The scale reflects symptoms of the depressive illness such as crying spells, sleep disorders, irritability, eating problems, and so on. In devising the Self - Rating Depression Scale (SDS), Zung used the most commonly found clinical diagnostic criteria. The items were based on these criteria; 10 were worded symptomatically positive and 10 were worded symptomatically negative. Respondents rate each item on a 4 - point scale from none or a little of the time to most or all of the time. The final index is derived by summing values for the 20 items and dividing by a maximum possible score of 80. (In the present study, this final division was omitted so that the scores would be expressed as whole numbers). Mean indexes achieved on the scale for patients diagnosed as having depressive disorders before and after treatment were .74 and .39, respectively. The mean index for patients who were initially diagnosed as having a depressive disorder, but who were discharged as having another disorder, was .53. The mean index for the control group was .33. The presence of sleep disturbance appears to be the most important symptom of the depressive disorder.
6. 抑郁。许多关于心理幸福感的研究都是使用失调的测量方法进行的(Lawton,1984)。在这个框架中,幸福感被视为没有疾病。因此,包括了一个工具来与这种幸福感的方法相呼应。Zung(1965)的抑郁量表由 20 个自我评分项目组成,旨在评估抑郁作为一种精神疾病。该量表反映了抑郁疾病的症状,如哭泣发作、睡眠障碍、易怒、饮食问题等。在设计自评抑郁量表(SDS)时,Zung 使用了最常见的临床诊断标准。这些项目是基于这些标准的;10 个项目的表述是症状性的积极的,10 个是症状性的消极的。受试者根据每个项目在 4 点量表上进行评分,从“从不或很少”到“大多数或所有时间”。最终指数是通过将 20 个项目的值相加并除以最大可能得分 80 来得出的。(在本研究中,省略了最后的除法,以便将得分表示为整数)。在治疗前后被诊断为抑郁障碍的患者在该量表上的平均指数分别为 0.74 和 0.39。最初被诊断为抑郁障碍但后来被诊断为其他疾病的患者的平均指数为 0.53。对照组的平均指数为 0.33。睡眠障碍的存在似乎是抑郁障碍的最重要症状。
Procedures
程序
Items for the new scales of psychological well - being were randomly mixed to create a single instrument. Respondents received this measure along with the six other indexes of well - being. The instruments were self - administered, with the testing time ranging from 45 min to 75 min. The young adults completed the questionnaire in small group sessions at the university. The middle - aged and the older respondents completed their surveys at work or at home and then returned them by mail to the experimenter. Only those individuals who had expressed a willingness to complete the survey were invited to participate. Therefore, the response rate among the two older groups was nearly 100%. Financial contributions were made to the community organizations participating in the study on the basis of the number of their members who returned the questionnaire.
心理幸福感新量表的项目被随机混合,以创建一个单一工具。受试者收到了这个量表以及其他六个幸福感指数。这些工具是自我管理的,测试时间从 45 分钟到 75 分钟不等。年轻人在大学的小型小组会议中完成了问卷。中年和老年受试者在工作或家中完成了调查,并通过邮件将其寄回给实验者。只有那些表示愿意完成调查的人才被邀请参加。因此,两个老年组的回应率接近 100%。根据返回问卷的成员数量,向参与研究的社区组织提供了财务贡献。
Results
结果
The findings are presented in two primary sections. First, the correlational results are examined to assess the empirical distinctness of the new dimensions, among themselves and in comparison to the prior indexes of well - being. Both bivariate and multivariate perspectives on these relations are examined. The second major category of results pertains to the analysis of the life course patterning of the various measures of well - being. Thus, age differences in the self - ratings are examined. Also of interest in these analyses are differences in how men and women rate themselves on the different dimensions of psychological well - being. The contrast between the new and former indexes of positive functioning are emphasized in reviewing these mean - level analyses.
研究结果分为两个主要部分。首先,检查相关性结果,以评估新维度之间的实证差异性以及与早期幸福感指数的对比。从双变量和多变量的角度对这些关系进行了检验。第二类主要结果涉及对各种幸福感测量方法的生命历程模式的分析。因此,对自我评分的年龄差异进行了检验。这些分析还关注男性和女性在不同心理幸福感维度上的自我评分差异。在回顾这些均值水平分析时,强调了新旧积极功能指数之间的对比。
Correlational Analyses
相关性分析
Intercorrelations of all of the measures of well - being for the total sample are presented in Table 2.

These outcomes provide preliminary evidence for the validity of the newly constructed scales of well - being. That is, correlations with prior measures of positive functioning (i.e., life satisfaction, affect balance, self - esteem, internal control, and morale) are all positive and significant, with coefficients ranging from .25 to .73. Similarly, correlations with prior measures of negative functioning (i.e., powerful others, chance control, depression) are all negative and significant, with coefficients ranging from —.30 to —.60. The intercorrelations among the new measures themselves are also of importance. Because the dimensions are all facets of psychological well - being, positive correlations are to be expected. This is in fact the case, with the coefficients ranging from .32 to .76. However, as the coefficients become stronger, they raise the potential problem of the criteria not being empirically distinct from one another. This appears to be the case with certain dimensions, such as self - acceptance and environmental mastery, which correlate .76, and with self - acceptance and purpose in life, which correlate .72. Such outcomes suggest the scales may be measuring the same underlying construct. There are, however, various sources of evidence that suggest distinctness among these theory - derived dimensions. First, the scale construction process required that items of each scale correlate more highly with their own scale than with another. Thus, the item pools of the separate scales are empirically differentiated. Furthermore, although they are highly intercorrelated, these scales show differential patterns with other measures (e.g., purpose in life is highly related to self - acceptance, but has generally lower correlations with life satisfaction, affect balance, and self - esteem than occur between these measures and self - acceptance). Finally, the multivariate and mean - level analyses, which are presented later, reveal that these strongly associated dimensions of positive functioning load on different factors of well - being and show differential age profiles. Thus, although the new criteria are highly related, there is evidence to support the view that they represent different facets of positive psychological functioning. The coefficients in Table 2 are perhaps most relevant with regard to the patterns obtained between the new measures of well - being and those indexes prominent in the prior literature. These findings indicate that certain of the theory - derived criteria - in particular, self - acceptance, environmental mastery, and to some extent purpose in life - are highly correlated (positively or negatively) with prior indexes, especially life satisfaction, affect balance, self - esteem, depression, and morale. Most of these coefficients (i.e., 87%) range between .55 and .73. However, other theory - derived criteria of positive functioning, most notably positive relations with others, autonomy, and personal growth, are not strongly associated with prior indexes. All of these coefficients are in the .25 to .45 range (positive or negative). Thus, these data suggest that, although there is considerable overlap between certain theory - guided dimensions and former indexes of well - being, other criteria following from the theoretical descriptions are not strongly linked to existing assessment instruments. This point is further illustrated with a factor analysis of these measures, which is presented in Table 3.

The three - factor solution (principal - components analysis, varimax) reveals a general Well - Being factor that consists of most of the earlier indexes of well - being (i.e., life satisfaction, affect balance, morale, self - esteem, depression, internal control) and two of the new dimensions (self - acceptance and environmental mastery). This factor accounts for approximately half (51.1%) of the variance. The second factor consists of new dimensions of well - being (personal growth, purpose in life, positive relations with others) derived from the theoretical literature and accounts for an additional 8.5% of the variance. The third factor combines the newly constructed scale of autonomy with two earlier control measures (powerful others, chance) and accounts for an additional 7.3% of the variance. (It might be noted that essentially the same factor structure is obtained when oblique methods of rotation are used, which allow for intercorrelations among the factors). Thus, although the multivariate findings demonstrate a strong Well - Being factor that encompasses most of the prior measures along with two of the newly constructed indexes, the results also indicate that separate, albeit less powerful, factors of well - being emerge from combinations of the theory - guided dimensions. The substance of these factors underscores the claim that the prior indexes of well - being do not address the aspects of psychological well - being given repeated emphasis in the theoretical literature.
表 2 列出了总样本中所有幸福感测量方法的相互相关性。这些结果为新构建的幸福感量表的有效性提供了初步证据。也就是说,与早期积极功能测量方法(即生活满意度、情感平衡、自尊、内部控制和士气)的相关性均为正相关且显著,相关系数范围为 0.25 至 0.73。同样,与早期消极功能测量方法(即他人权力、机会控制、抑郁)的相关性均为负相关且显著,相关系数范围为 - 0.30 至 - 0.60。新测量方法之间的相互相关性也很重要。由于这些维度都是心理幸福感的不同方面,因此预期会呈现正相关。实际上,相关系数范围为 0.32 至 0.76。然而,随着相关系数的增大,出现了这些标准可能在实证上并不具有区分度的潜在问题。在某些维度之间似乎出现了这种情况,例如自我接纳与环境掌控的相关系数为 0.76,自我接纳与生活目标的相关系数为 0.72。这些结果表明,这些量表可能测量的是同一个潜在构念。然而,有各种证据表明这些理论衍生维度之间存在区分度。首先,量表构建过程要求每个量表的条目与其自身的相关性要高于与其他量表的相关性。因此,不同量表的条目池在实证上是有所区分的。此外,尽管这些量表高度相关,但它们与其他测量方法呈现出不同的模式(例如,生活目标与自我接纳高度相关,但与生活满意度、情感平衡和自尊的相关性通常低于这些测量方法与自我接纳之间的相关性)。最后,后面将呈现的多变量和均值水平分析表明,这些高度相关的积极功能维度在不同的幸福感因子上具有不同的负荷,并且呈现出不同的年龄特征。因此,尽管新标准高度相关,但有证据支持它们代表了积极心理功能的不同方面。表 2 中的相关系数可能与新幸福感测量方法与早期文献中突出的指数之间获得的模式最为相关。这些结果表明,某些理论衍生标准——特别是自我接纳、环境掌控以及在某种程度上的生活目标——与早期指数(尤其是生活满意度、情感平衡、自尊、抑郁和士气)高度相关(正相关或负相关)。这些相关系数中有 87% 的范围在 0.55 至 0.73 之间。然而,其他积极功能的理论衍生标准,尤其是与他人建立积极关系、自主性和个人成长,与早期指数的关联并不紧密。所有这些相关系数均在 0.25 至 0.45 范围内(正相关或负相关)。因此,这些数据表明,尽管某些理论指导的维度与早期幸福感指数存在相当大的重叠,但其他遵循理论描述的标准与现有的评估工具并没有很强的联系。这一点通过这些测量方法的因子分析得到了进一步说明,结果见表 3。三因子解决方案(主成分分析,方差最大法)揭示了一个总体幸福感因子,它包含了大多数早期的幸福感指数(即生活满意度、情感平衡、士气、自尊、抑郁、内部控制)以及两个新维度(自我接纳和环境掌控)。该因子解释了大约一半(51.1%)的方差。第二个因子由理论文献中衍生出的新幸福感维度(个人成长、生活目标、与他人建立积极关系)组成,额外解释了 8.5% 的方差。第三个因子将新构建的自主性量表与两个早期的控制测量方法(他人权力、机会)结合起来,额外解释了 7.3% 的方差。(需要指出的是,当使用允许因子之间相关的斜交旋转方法时,基本上可以获得相同的因子结构)。因此,尽管多变量结果表明一个强大的幸福感因子涵盖了大多数早期测量方法以及两个新构建的指数,但结果也表明,从理论指导的维度组合中涌现出其他独立的(尽管不那么强大的)幸福感因子。这些因子的实质强调了早期幸福感指数没有涉及理论文献中反复强调的心理幸福感方面的说法。
Age and Sex Differences on Indexes of Well - Being
幸福感指数的年龄和性别差异
Survey researchers have devoted considerable attention to questions of whether reports of well - being change across the life cycle and whether men and women differ in their self - rated psychological health (e.g., Bryant & Veroff, 1982; Herzog et al., 1982; Veroff et al., 1981). These assessments have generally been exploratory and focused on indexes of life satisfaction and positive and negative affect. Little emphasis has been given to age and sex differences in theoretical conceptions of positive psychological functioning (see Ryff, 1985). Depictions of self - actualization (Maslow, 1968), optimal functioning (Rogers, 1961), or maturity (Allport, 1961) have not included variations by age or differences between men and women. The notable exception is life span developmental theories, which have stressed the differing challenges confronted by individuals as they grow older. These formulations suggested, for example, that certain aspects of well - being such as self - acceptance or autonomy are more easily achieved by the aged (see Buhler & Massarik, 1968; Erikson, 1959), whereas other dimensions (e.g., environmental mastery) are more prominent in the self - perceptions of middle - aged individuals (Neugarten, 1973). Little in the prior literature, however, provides a basis for predicting age variations on the dimensions of positive relations with others, purpose in life, or personal growth. Life span theories have also been generally silent with regard to predictions of sex differences, although recent critiques have emphasized that women’s development is less tied to individualism and autonomy and more focused on interpersonal relations than is men’s (Gilligan, 1982). Given these loose guidelines, the empirical objective was to examine the age patterning and sex differences in the newly constructed dimensions of psychological well - being. Also of interest was how these findings would compare with prior research that had addressed age and sex differences in well - being primarily in terms of happiness and life satisfaction. Newly constructed measures. Age and sex differences on the newly formulated indexes of well - being were examined with a 3 (young, middle - aged, and older adults) × 2 (women or men) multivariate analysis of variance (MANOVA). Wilks’s lambda was used as the test of significance. When significant MANOVA effects were obtained, univariate analyses were then interpreted. The Tukey honestly significant difference procedure was used to interpret significant effects involving more than two groups. Means and standard deviations for the new measures by age and sex are presented in Table 4.

The analysis revealed a significant overall effect of age, F(12, 620) = 5.98, p < .001. This was accounted for by the dimensions of autonomy, F(2,315) = 4.04, p < .05; environmental mastery, F(2,315) = 6.52, p < .01; purpose in life, F(2,315) = 3.97, p < .05; and personal growth, F(2,315) = 4.73, p < .01. The directions of these age differences are illustrated in Figure 1.

Thus, the general age trends revealed higher scores among the middle - aged respondents, who sometimes scored significantly higher than older adults (purpose in life) and other times higher than young adults (autonomy). Both middle - aged and older adults rated themselves higher on environmental mastery than did young adults. For personal growth, young adults joined middle - aged adults in scoring higher than older adults. The life course profiles for the indexes of self - acceptance and positive relations with others indicated no age differences. A significant overall effect of sex was also obtained, F(6, 310) = 8.65, p < .001. This was accounted for by the measure of positive relations with others, F(1,315) = 17.64, p < .001, on which women scored higher than men. Outcomes for personal growth approached significance, F(1,315) = 3.61, p < .058, with women again scoring higher than men. No other significant sex differences were obtained for any other measures of well - being. There were also no significant Age × Sex interactions in these analyses. Prior indexes of well - being. Age and sex differences on the six prior measures of well - being were analyzed by a series of univariate analyses of variance. (The rationale for univariate analyses was that these scales are derived from diverse conceptual origins. However, the results are essentially the same when preceded by a MANOVA.) Means and standard deviations for these analyses are presented in Table 5.

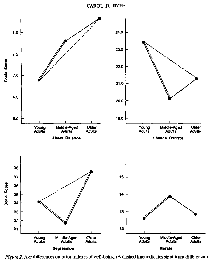
Significant age differences were obtained for the measures of affect balance, F(2,314) = 18.90, p < .001; morale, F(2,313) = 4.58, p < .01; chance control, F(2,312) = 9.66, p < .001; and depression, F(2,312) = 17.50, p < .001. These results are summarized in Figure 2,

which indicates that young adults rated themselves lower than the other two age groups on affect balance and chance control. Middle - aged adults also scored significantly lower than middle - aged respondents on morale. In contrast, older adults scored significantly higher than the two younger groups on the measure of depression. Significant age differences were not obtained for life satisfaction, self - esteem, and two control subscales (Internal and Powerful Others). Main effects of sex were obtained for the measures of internal control, F(1,314) = 5.24, p < .05; morale, F(1,313) = 8.40, p < .01; and depression, F(1,312) = 5.05, p < .05. Men had significantly more positive self - assessments on all of these measures than did women (i.e., higher scores on internal control and morale and lower scores on depression). The measure of life satisfaction approached significance, F(1,314) = 3.81, p < .052, with men again scoring higher than women. Sex differences were not obtained for the measures of affect balance, self - esteem, and two aspects of control (chance, powerful others). Finally, one Age × Sex interaction was obtained for the measure of life satisfaction, F(2,314) = 3.95, p < .05. The interaction reveals decreasing scores for women across the three age periods, whereas men’s scores increase from young adulthood to middle age and then drop slightly in the later years.
调查研究人员对幸福感报告是否会随着生命周期的变化而变化以及男性和女性在自我评价的心理健康方面是否存在差异给予了相当多的关注(例如,Bryant & Veroff,1982;Herzog 等人,1982;Veroff 等人,1981)。这些评估通常具有探索性,并且集中在生活满意度以及积极和消极情感的指数上。很少关注年龄和性别在积极心理功能的理论概念上的差异(参见 Ryff,1985)。关于自我实现(Maslow,1968)、最佳功能(Rogers,1961)或成熟(Allport,1961)的描述并没有包括年龄变化或男性和女性之间的差异。一个显著的例外是生命周期发展理论,该理论强调个体随着年龄增长所面临的不同挑战。这些理论指出,例如,某些幸福感方面,如自我接纳或自主性,更容易被老年人实现(参见 Buhler & Massarik,1968;Erikson,1959),而其他维度(例如,环境掌控)在中年人的自我感知中更为突出(Neugarten,1973)。然而,早期文献很少提供关于与他人建立积极关系、生活目标或个人成长维度的年龄变化的预测依据。生命周期理论也通常对性别差异的预测保持沉默,尽管最近的批评强调,女性的发展与男性相比,与个人主义和自主性的联系更少,而更注重人际关系(Gilligan,1982)。鉴于这些粗略的指导方针,实证研究的目标是检验新构建的心理幸福感维度的年龄模式和性别差异。同样令人感兴趣的是,这些发现与以往的研究结果相比如何,以往的研究主要从幸福感和生活满意度的角度探讨了年龄和性别差异。新构建的测量方法。通过 3(年轻人、中年人和老年人)×2(女性或男性)的多变量方差分析(MANOVA)检验了新构建的幸福感指数的年龄和性别差异。Wilks 检验被用作显著性检验。当获得显著的 MANOVA 效应时,随后对单变量分析进行了解释。Tukey 真实显著差异程序被用来解释涉及两个以上群体的显著效应。表 4 列出了按年龄和性别划分的新测量方法的均值和标准差。分析结果显示年龄的总体效应显著,F(12,620)= 5.98,p < .001。这可以归因于自主性维度,F(2,315)= 4.04,p < .05;环境掌控,F(2,315)= 6.52,p < .01;生活目标,F(2,315)= 3.97,p < .05;以及个人成长,F(2,315)= 4.73,p < .01。这些年龄差异的方向在图 1 中进行了说明。因此,总体年龄趋势显示中年受试者的得分更高,有时显著高于老年人(生活目标),有时高于年轻人(自主性)。中年和老年受试者在环境掌控方面的自我评分高于年轻受试者。对于个人成长,年轻人和中年人的得分高于老年人。自我接纳和与他人建立积极关系的指数的生命历程特征没有显示出年龄差异。性别总体效应也显著,F(6,310)= 8.65,p < .001。这可以归因于与他人建立积极关系的测量方法,F(1,315)= 17.64,p < .001,在这一维度上,女性的得分高于男性。个人成长的结果接近显著,F(1,315)= 3.61,p < .058,女性再次得分高于男性。其他幸福感测量方法没有获得其他显著的性别差异。这些分析中也没有获得显著的年龄 × 性别交互作用。早期的幸福感指数。通过一系列单变量方差分析,分析了早期六个幸福感指数的年龄和性别差异。(进行单变量分析的理由是这些量表来源于不同的概念基础。然而,当以 MANOVA 开始时,结果基本相同。)表 5 列出了这些分析的均值和标准差。情感平衡、士气、机会控制和抑郁的测量方法获得了显著的年龄差异,F(2,314)= 18.90,p < .001;F(2,313)= 4.58,p < .01;F(2,312)= 9.66,p < .001;F(2,312)= 17.50,p < .001。这些结果总结在图 2 中,表明年轻人在情感平衡和机会控制方面的自我评分低于其他两个年龄组。中年人在士气方面的得分也显著低于中年受试者。相比之下,老年人在抑郁测量方法上的得分显著高于两个年轻组。生活满意度、自尊和两个控制分量表(内部和他人权力)没有获得显著的年龄差异。性别主效应在内部控制、士气和抑郁的测量方法上获得,F(1,314)= 5.24,p < .05;F(1,313)= 8.40,p < .01;F(1,312)= 5.05,p < .05。男性在所有这些测量方法上的自我评价得分都显著高于女性(即在内部控制和士气上的得分更高,在抑郁上的得分更低)。生活满意度的测量方法接近显著,F(1,314)= 3.81,p < .052,男性再次得分高于女性。性别差异没有在情感平衡、自尊和控制的两个方面(机会、他人权力)的测量方法上获得。最后,生活满意度的测量方法获得了一个年龄 × 性别交互作用,F(2,314)= 3.95,p < .05。该交互作用表明,女性在三个年龄阶段的得分逐渐下降,而男性从青年到中年的得分增加,然后在晚年略有下降。
Supplemental Regression Analyses
补充回归分析
Preliminary analyses were conducted to explore possible predictors of psychological well - being. The predictor variables in these stepwise regression analyses included broad demographic characteristics: age, sex (female = 1, male = 0), educational level, marital status (married = 1, unmarried = 0), and self - rated health and finances (excellent = 4, good = 3, fair = 2, poor = 1). The correlations among the predictor variables were low; all coefficients were below .30, with the exception of the association between age and marital status (r = .46) and between education and marital status (r = .31). The results of these analyses, presented separately for each of the new and the former scales of well - being, are found in Table 6.

In general, the demographic factors account for low levels of variance (range = 3% - 24%) in the well - being indexes. Among the prominent predictor variables for the new measures were self - rated finances and health. Being married was a predictor of self - acceptance and purpose in life, and being female predicted positive relations with others and personal growth. Age and educational level were of weak predictive significance for the new indexes. For the prior indexes of well - being, self - rated finances again appeared to be a leading predictor variable. Age and marital status were also more prominent predictors of these outcomes. Educational level was again of minimal predictive power. Sex did not enter any of the equations as a significant predictor variable, which suggests that the previously obtained mean - level differences between men and women on internal control, morale, and depression were accounted for by differences in their life situations (e.g., finances, marital status, health, age).
进行了初步分析,以探索心理幸福感的可能预测因素。这些逐步回归分析中的预测变量包括广泛的人口统计学特征:年龄、性别(女性 = 1,男性 = 0)、教育水平、婚姻状况(已婚 = 1,未婚 = 0)以及自我评价的健康和财务状况(优秀 = 4,良好 = 3,一般 = 2,差 = 1)。预测变量之间的相关性较低;所有系数均低于 0.30,除了年龄与婚姻状况(r = 0.46)以及教育与婚姻状况(r = 0.31)之间的关联。这些分析的结果分别针对每一种新的和早期的幸福感量表,见表 6。总体而言,人口统计学因素在幸福感指数中的方差解释水平较低(范围 = 3% - 24%)。在新的测量方法中,突出的预测变量是自我评价的财务状况和健康状况。已婚是自我接纳和生活目标的预测变量,女性则预测与他人建立积极关系和个人成长。年龄和教育水平对新指数的预测意义较弱。对于早期的幸福感指数,自我评价的财务状况再次成为主要的预测变量。年龄和婚姻状况也是这些结果的更突出的预测变量。教育水平的预测能力仍然很低。性别没有作为显著的预测变量进入任何一个方程,这表明之前获得的男性和女性在内部控制、士气和抑郁方面的平均差异可以通过他们生活状况的差异(例如,财务状况、婚姻状况、健康、年龄)来解释。
Discussion
讨论
The aim of the present research was to stimulate interest in the basic question of what constitutes positive psychological functioning. It has been argued that early conceptions of well - being suffered from limited theoretical grounding, which led to the neglect of important facets of psychological health. At the same time, the extant theoretical literature, although articulating richer conceptions of well - being, was criticized for its unrealized empirical translation. In an effort to introduce certain of these theoretical ideas to the empirical literature, six theory - guided dimensions of well - being were operationalized. These measures revealed acceptable preliminary psychometric properties, although further validation and assessment is needed. Certain of these instruments showed convergence with prior indexes of well - being. For example, self - acceptance and environmental mastery were strongly associated with measures of life satisfaction, affect balance, self - esteem, and morale, thereby indicating clear linkages between theory - guided components of well - being and those evident in current empirical studies. However, other dimensions - most notably, positive relations with others, autonomy, purpose in life, and personal growth - were not as closely tied to current assessment indexes, as evident in both bivariate and multivariate analyses. These findings support the claim that key aspects of positive psychological functioning emphasized in theory have not been represented in the empirical arena. What are the implications of such findings for past and future research on psychological well - being? Primarily, they suggest that the previous literature has been guided by somewhat narrow conceptions of positive functioning. Central emphasis has been given to short - term affective well - being (i.e., happiness), at the expense of more enduring life challenges such as having a sense of purpose and direction, achieving satisfying relationships with others, and gaining a sense of self - realization. These contrasts harken back to the deliberations of the Greeks regarding the difference between feeling good at the moment and the more demanding task of realizing one’s true potential (Waterman, 1984). Similarly, life satisfaction, despite its more enduring, long - term quality, has failed to monitor such features of well - being as autonomy, personal growth, and positive relations with others. These heretofore neglected aspects of well - being are increasingly attracting the interest of social psychologists. For example, personal strivings, which refer to goals that individuals try to achieve in everyday behavior, have emerged as a new topic of empirical inquiry (Emmons, 1986). Similarly, meaning and purpose in life have become an empirical focus in gerontological research (Reker, Peacock, & Wong, 1987). However, in both of these new directions, goals and life purposes (or the conflicts and difficulties associated with them) have been formulated as antecedents to psychological well - being, operationalized with the usual affective indexes. The crux of the present argument is that these goals and directions in life are, in themselves, central criteria of psychological well - being. Moreover, as Waterman (1984) has stressed, realizing one’s goals or purpose in life is not always easy - - it requires effort and discipline, which may at times be at odds with short - term happiness. Beyond the major goal of re - examining the essential meaning of psychological well - being, this inquiry also addressed the life course patterning of multiple aspects of positive psychological functioning. The predictions from life span theories received only partial support; self - ratings for environmental mastery were, as expected, high in middle age, but they were also high in the self - perceptions of aged persons. Self - acceptance, on the other hand, showed no age variations, and autonomy ratings were most prominent among middle - aged respondents. The mixed support for the age predictions may reflect the fact that each newly constructed dimension of well - being was derived from the integration of several conceptual frameworks, not just life span formulations. When compared with the prior well - being literature, the age differences reveal points of convergence as well as divergence. For example, prior studies (some cross - sectional, others longitudinal) have shown that aged persons are not less happy or do not suffer from lower self - esteem than younger age groups (Bengston, Reedy, & Gordon, 1985; Herzog et al., 1982). These results reinforce such claims, showing no age differences in self - esteem and even incremental levels of happiness (affect balance) across age groups. At the same time, the findings reveal higher levels of depression (although not in the range of clinical depression) with age, concomitant with lower levels of purpose in life and personal growth. Thus, within the limitations of cross - sectional inference, the results point to a highly differentiated profile of psychological functioning across the adult life cycle. This mix of possible increments in some aspects of well - being with aging and decrements in others is particularly significant given the positive selection bias of the present sample. It appears that even well - educated, healthy, economically comfortable older adults face significant challenges in their efforts to maintain a sense of purpose and self - realization in later life. Sex differences obtained for the standard indexes of psychological well - being underscore the recurrent observation of women’s more troubled psychological profiles (Diener, 1984; Veroff et al., 1981). Female respondents had lower levels of internal control and morale, as well as higher levels of depression. The theory - guided dimensions of well - being, however, revealed advantages for women in terms of positive relations with others and a trend toward higher scores on personal growth. Thus, the new formulation affords a less dismal view of female - male contrasts in psychological well - being, with women showing strengths on the interpersonal dimension, which has been stressed as being central to female conceptions of development (Gilligan, 1982). The primary thrust of this inquiry has been descriptive, that is, to operationalize basic contours of well - being and to chart self - ratings on these dimensions as a function of age and sex. I have argued elsewhere that the usual disciplinary preference for explanatory over descriptive research (Ryff, 1987) frequently impedes careful formulation of the central constructs psychologists seek to explain. The literature on psychological well - being is but one example of this phenomenon. Still, more probing questions that would account for variation on these measures are essential to advancement of knowledge in this domain. Prior attempts to predict why some Americans are happier than others have focused almost exclusively on sociodemographic variables (i.e., education, social class, age, ethnicity, marital status). These studies have repeatedly demonstrated that, even in combination, such variables account for little of the variance in well - being (Herzog et al., 1982; Larson, 1978). The present effort to predict well - being scores with sociodemographic variables met with similar results. Thus, there is a clear need for enriched theoretical guidance in attempts to identify the critical influences on well - being and to formulate the mechanisms by which these influences occur (Diener, 1984). Perhaps looking beneath the broad social structural factors to the life experiences and opportunities they afford or deny would provide a more promising avenue for explanatory research. A final comment follows from the observation that theories of positive psychological functioning are essentially manifestations of middle - class values (Ryff, 1985). From this perspective, the present study may be faulted for creating yardsticks of self - evaluation that are unattainable, unattractive, or irrelevant for individuals at different locations in the social structure. This awareness that culture, history, ethnicity, class, and so on give rise to different, perhaps competing, conceptions of well - being (Coan, 1977) has been neglected in much prior theorizing in this domain. However, such recognition need not paralyze the scientific study of positive psychological functioning. Rather, it should lead to new targets of empirical inquiry such as studies that assess the fit between theoretical conceptions of well - being and the values and ideals of those to whom they are applied (e.g., Ryff, 1989b), investigations that explore the conditions under which particular ideals of well - being are obstructed or realized, and research that probes the long - term consequences (individual and societal) of following one rather than another conception of positive psychological functioning. Thus, the conflict and competition among values that is inevitable in this domain must be viewed not as an obstacle to but as a focus of empirical study. It is these guiding ideals that afford vitality and an ever - expanding source of standards for defining psychological well - being.
本研究的目标是激发对积极心理功能的本质是什么这一基本问题的兴趣。有人认为,早期对幸福感的看法由于理论基础有限,导致忽视了心理健康的许多重要方面。与此同时,尽管现有的理论文献阐述了更丰富的幸福感概念,但因其未能实现经验转化而受到批评。为了将这些理论思想引入经验文献,对六个理论指导的幸福感维度进行了操作化。这些量表显示出可接受的初步心理测量学特性,尽管还需要进一步的验证和评估。其中一些量表与早期的幸福感量表显示出一致性。例如,自我接纳和环境掌控与生活满意度、情感平衡、自尊和士气的测量方法高度相关,这表明理论指导的幸福感成分与当前经验研究中明显的成分之间存在明确的联系。然而,其他维度——尤其是与他人建立积极关系、自主性、生活目标和个人成长——与当前的评估指标的联系并不紧密,这在双变量和多变量分析中都有所体现。这些发现支持了理论中强调的积极心理功能的关键方面尚未在经验领域得到体现的观点。这样的发现对过去的和未来的心理幸福感研究有什么启示呢?首先,它们表明,以往的文献受到对积极功能较为狭隘的概念的指导。主要强调短期的情感幸福感(即幸福),而牺牲了更持久的生活挑战,例如拥有目标和方向感、与他人建立令人满意的关系以及获得自我实现感。这些对比让人回想起希腊人对当下感觉良好与更具挑战性的实现自身真正潜力之间的区别的讨论(Waterman,1984)。同样,尽管生活满意度具有更持久的长期特质,但它未能监测到自主性、个人成长以及与他人建立积极关系等幸福感特征。这些以前被忽视的幸福感方面正越来越吸引社会心理学家的兴趣。例如,个人奋斗,即个人在日常行为中试图实现的目标,已经成为经验研究的新课题(Emmons,1986)。同样,生活中的意义和目标也成为老年学研究的经验焦点(Reker,Peacock & Wong,1987)。然而,在这两个新的研究方向中,目标和生活目标(或与之相关的冲突和困难)被表述为心理幸福感的前因,并用通常的情感指数进行操作化。当前论点的核心是,这些生活中的目标和方向本身就是心理幸福感的核心标准。此外,正如 Waterman(1984)所强调的,实现生活目标或目的并不总是容易的——它需要努力和纪律,这有时可能与短期幸福相冲突。除了重新审视心理幸福感的本质这一主要目标外,本研究还探讨了积极心理功能多个方面的生命历程模式。生命周期理论的预测只得到了部分支持;环境掌控的自我评分如预期一样在中年时期较高,但在老年人的自我感知中也较高。另一方面,自我接纳并没有显示出年龄差异,而自主性的评分在中年受试者中最为突出。对年龄预测的混合支持可能反映了这样一个事实:每个新构建的幸福感维度都是从几个概念框架的整合中得来的,而不仅仅是生命周期公式。与以往的幸福感文献相比,年龄差异揭示了趋同和分歧的要点。例如,以往的研究(有些是横断面的,有些是纵向的)表明,老年人并不比年轻群体更不幸福,也没有遭受更低的自尊(Bengston,Reedy & Gordon,1985;Herzog 等人,1982)。这些结果加强了这种说法,显示出在自尊方面没有年龄差异,并且在年龄群体之间幸福感(情感平衡)呈递增水平。与此同时,研究结果揭示了随着年龄增长抑郁水平(尽管不在临床抑郁范围内)升高,与生活目标和个人成长水平降低相伴。因此,在横断面推断的局限性内,结果指向了成年生命周期中高度分化的心理功能轮廓。考虑到当前样本的正向选择偏差,这种在某些幸福感方面的可能增加与在其他方面的减少的混合特别显著。看来即使是受过良好教育、健康、经济舒适的老年人在努力维持晚年生活中的目标感和自我实现感方面也面临着重大挑战。在心理幸福感的标准指数中获得的性别差异突出了女性更麻烦的心理轮廓的反复观察(Diener,1984;Veroff 等人,1981)。女性受试者的内部控制和士气水平较低,抑郁水平较高。然而,理论指导的幸福感维度揭示了女性在与他人建立积极关系方面的优势以及个人成长得分呈上升趋势。因此,新的公式为女性 - 男性在心理幸福感方面的对比提供了一个不那么悲观的看法,女性在人际关系维度上显示出优势,这一维度被认为对女性的发展观念至关重要(Gilligan,1982)。本研究的主要方向是描述性的,即操作化幸福感的基本轮廓,并将这些维度的自我评分作为年龄和性别的函数进行绘制。我在其他地方争论过,学科通常偏好解释性研究而非描述性研究(Ryff,1987),这常常阻碍了心理学家试图解释的核心构念的谨慎表述。心理幸福感的文献仅仅是这种现象的一个例子。尽管如此,提出能够解释这些测量方法变化的更深入的问题对于这一领域的知识进步是至关重要的。以往试图预测为什么一些美国人比其他人更幸福的努力几乎完全集中在社会人口学变量(即教育、社会阶层、年龄、种族、婚姻状况)上。这些研究反复表明,即使是综合起来,这些变量也解释不了幸福感的方差(Herzog 等人,1982;Larson,1978)。用社会人口学变量预测幸福感得分的当前努力也得到了类似的结果。因此,显然需要更丰富的理论指导来尝试确定影响幸福感的关键因素,并制定这些影响发生的机制(Diener,1984)。也许,深入到广泛的社会结构因素之下,研究它们提供的生活经历和机会,将为解释性研究提供更有希望的途径。最后一点评论来自于这样的观察:积极心理功能的理论本质上是中产阶级价值观的表现(Ryff,1985)。从这个角度来看,本研究可能会因为创造了对处于社会结构不同位置的个体来说无法达到、缺乏吸引力或无关紧要的自我评价标准而受到批评。这种对文化、历史、种族、阶级等产生不同甚至相互竞争的幸福感观念(Coan,1977)的认识在这一领域的许多早期理论中被忽视了。然而,这种认识并不应使积极心理功能的科学研究陷入瘫痪。相反,它应该导致经验研究的新目标,例如评估理论幸福感观念与它们所应用的人的价值观和理想的契合度的研究(例如,Ryff,1989b)、探索特定幸福感理想在何种条件下受到阻碍或实现的研究,以及深入研究遵循一种而非另一种积极心理功能观念的长期后果(个人和社会)的研究。因此,这一领域中不可避免的价值观冲突和竞争不应被视为经验研究的障碍,而应成为其焦点。正是这些指导理想,为定义心理幸福感提供了活力和不断扩展的标准来源。
References
Allport, G. W. (1961). Pattern and growth in personality. New York: Holt, Rinehart & Winston.
Andrews, F. M., & Withey, S. B. (1976). Social indicators of well-being: America’s perception of ‘life quality’. New York: Plenum Press.
Aristotle. (1947). Nicomachean ethics (W. D. Ross, Trans.). In R. McKeon (Ed.), Introduction to Aristotle. New York: Modern Library.
Bengston, V. L., Reedy, M. N., & Gordon, C. (1985). Aging and self-conceptions: Personality processes and social contexts. In J. E. Birren & K. W. Schaie (Eds.), Handbook of the psychology of aging (2nd ed., pp. 544-593). New York: Van Nostrand Reinhold.
Bradburn, N. M. (1969). The structure of psychological well-being. Chicago: Aldine.
Breytspraak, L. M., & George, L. K. (1982). Self-concept and self-esteem. In D. J. Mangen & W. A. Peterson (Eds.), Research instruments in social gerontology: Vol. I. Clinical and social psychology (pp. 241-302). Minneapolis: University of Minnesota Press.
Bryant, F. B., & Veroff, J. (1982). The structure of psychological well-being: A socio-historical analysis. Journal of Personality and Social Psychology, 43, 653-673.
Buhler, C. (1935). The curve of life as studied in biographies. Journal of Applied Psychology, 19, 405-409.
Buhler, C., & Massarik, F. (Eds.). (1968). The course of human life. New York: Springer.
Campbell, A. (1981). The sense of well-being in America. New York: McGraw-Hill.
Coan, R. W. (1977). Hero, artist, sage, or saint?: A survey of what is variously called mental health, normality, maturity, self-actualization, and human fulfillment. New York: Columbia University Press.
Diener, E. (1984). Subjective well-being. Psychological Bulletin, 95, 542-575.
Diener, E., & Emmons, R. A. (1984). The independence of positive and negative affect. Journal of Personality and Social Psychology, 47, 1105-1117.
Diener, E., Larson, R. J., Levine, S., & Emmons, R. A. (1985). Intensity and frequency: Dimensions underlying positive and negative affect. Journal of Personality and Social Psychology, 48, 1253-1265.
Emmons, R. A. (1986). Personal strivings: An approach to personality and subjective well-being. Journal of Personality and Social Psychology, 51, 1058-1068.
Erikson, E. (1959). Identity and the life cycle. Psychological Issues, 1, 18-164.
Gilligan, C. (1982). Adult development and women’s development: Arrangements for a marriage. In J. Z. Giele (Ed.), Women in the middle years (pp. 89-114). New York: Wiley.
Herzog, A. R., Rodgers, W. L., & Woodworth, J. (1982). Subjective well-being among different age groups. Ann Arbor: University of Michigan, Institute for Social Research, Survey Research Center.
Huberty, C. J., & Morris, J. D. (1989). Multivariate analysis versus multiple univariate analyses. Psychological Bulletin, 105, 302-308.
Jahoda, M. (1958). Current concepts of positive mental health. New York: Basic Books.
Jung, C. G. (1933). Modern man in search of a soul (W. S. Dell & C. F. Baynes, Trans.). New York: Harcourt, Brace, & World.
Lachman, M. E. (1986). Personal control in later life: Stability, change, and cognitive correlates. In M. M. Baltes & P. B. Baltes (Eds.), The psychology of control and aging (pp. 207-236). Hillsdale, NJ: Erlbaum.
Larson, R. (1978). Thirty years of research on the subjective well-being of older Americans. Journal of Gerontology, 33, 109-125.
Larson, R. J., Diener, E., & Emmons, R. A. (1985). An evaluation of subjective well-being measures. Social Indicators Research, 17, 1-17.
Lawton, M. P. (1972). The dimensions of morale. In D. Kent, R. Kastenbaum, & S. Sherwood (Eds.), Research, planning, and action for the elderly (pp. 144-165). New York: Behavioral Publications.
Lawton, M. P. (1975). The Philadelphia Geriatric Center Morale Scale: A revision. Journal of Gerontology, 30, 85-89.
Lawton, M. P. (1984). The varieties of well-being. In C. Z. Malatesta & C. E. Izard (Eds.), Emotion in adult development (pp. 67-84). Beverly Hills, CA: Sage.
Levenson, H. (1974). Activism and powerful others: Distinctions within the concept of internal-external control. Journal of Personality Assessment, 38, 377-383.
Liang, J. (1984). Dimensions of the Life Satisfaction Index A: A structural formulation. Journal of Gerontology, 39, 613-622.
Liang, J. (1985). A structural integration of the Affect Balance Scale and the Life Satisfaction Index A. Journal of Gerontology, 40, 552-561.
Liang, J., & Bollen, K. A. (1983). The structure of the Philadelphia Geriatric Center Morale Scale: A reinterpretation. Journal of Gerontology, 38, 181-189.
Maddox, G. L., & Wiley, J. (1976). Scope, concepts, and methods in the study of aging. In R. Binstock & E. Shanas (Eds.), Handbook of aging and the social sciences (pp. 3-34). New York: Van Nostrand Reinhold.
Maslow, A. H. (1968). Toward a psychology of being (2nd ed.). New York: Van Nostrand.
Neugarten, B. L. (1968). The awareness of middle age. In B. L. Neugarten (Ed.), Middle age and aging (pp. 93-98). Chicago: University of Chicago Press.
Neugarten, B. L. (1973). Personality change in late life: A developmental perspective. In C. Eisdorfer & M. P. Lawton (Eds.), The psychology of adult development and aging (pp. 311-335). Washington, DC: American Psychological Association.
Neugarten, B. L., Havighurst, R., & Tobin, S. (1961). The measurement of life satisfaction. Journal of Gerontology, 16, 134-143.
Reker, G. T., Peacock, E. J., & Wong, P. T. P. (1987). Meaning and purpose in life and well-being: A life-span perspective. Journal of Gerontology, 42, 44-49.
Rogers, C. R. (1961). On becoming a person. Boston: Houghton Mifflin.
Rosenberg, M. (1965). Society and the adolescent self-image. Princeton, NJ: Princeton University Press.
Rotter, J. B. (1966). Generalized expectancies for internal versus external control of reinforcement. Psychological Monographs, 80(1, Whole No. 609).
Ryff, C. D. (1982). Successful aging: A developmental approach. The Gerontologist, 22, 209-214.
Ryff, C. D. (1985). Adult personality development and the motivation for personal growth. In D. Kleiber & M. Maehr (Eds.), Advances in motivation and achievement: Vol. 4. Motivation and adulthood (pp. 55-92). Greenwich, CT: JAI Press.
Ryff, C. D. (1987). The place of personality and social structure in social psychology research. Journal of Personality and Social Psychology, 53, 1192-1202.
Ryff, C. D. (1989a). Beyond Ponce de Leon and life satisfaction: New directions in quest of successful aging. International Journal of Behavioral Development, 12, 35-55.
Ryff, C. D. (1989b). In the eye of the beholder: Views of psychological well-being among middle- and old-aged adults. Psychology and Aging, 4, 195-210.
Ryff, C. D., & Heincke, S. G. (1983). The subjective organization of personality in adulthood and aging. Journal of Personality and Social Psychology, 44, 807-816.
Saukko, W. J., & Warland, R. (1982). Morale and life satisfaction. In D. A. Mangen & W. A. Peterson (Eds.), Research instruments in social gerontology: Vol. 1. Clinical and social psychology (pp. 195-240). Minneapolis: University of Minnesota Press.
Schwarz, N., & Clore, G. L. (1983). Mood, misattribution, and judgments of well-being: Informative and directive functions of affect. Journal of Personality and Social Psychology, 45, 513-523.
Stock, W. A., Okun, M. A., & Benin, M. (1986). Structure of subjective well-being among the elderly. Psychology and Aging, 1, 91-102.
Von Franz, M.-L. (1964). The process of individuation. In C. G. Jung (Ed.), Man and his symbols (pp. 158-229). New York: Doubleday.
Veroff, J., Douvan, E., & Kulka, R. A. (1981). The inner American: A self-portrait from 1957 to 1976. New York: Basic Books.
Waterman, A. S. (1984). The psychology of individualism. New York: Praeger.
Wiggins, J. S. (1973). Personality and prediction: Principles of personality assessment. Menlo Park, CA: Addison-Wesley.
Zung, S. S. (1965). A self-rating depression scale. Archives of General Psychiatry, 12, 63-70.
Call for Nominations
The Publications and Communications Board has opened nominations for the editorships of the Personality Processes and Individual Differences section of the Journal of Personality and Social Psychology, the Journal of Experimental Psychology: Animal Behavior Processes, Contemporary Psychology, Psychological Assessment: A Journal of Consulting and Clinical Psychology, and Psychology and Aging (or ibg years 1992 - 1997. Irwin Sarason, Michael Domjan, Ellen Berscheid, Alan Kazdin, and M. Powell Lawton, respectively, are the incumbent editors. Candidates must be members of APA and should be available to start receiving manuscripts in early 1991 to prepare for issues published in 1992. Please note that the P&C Board encourages more participation by members of underrepresented groups in the publication process and would particularly welcome such nominees. To nominate candidates, prepare a statement of one page or less in support of each candidate.
• For JPSP: Personality, submit nominations to Arthur Bodin, Mental Research Institute, 555 Middlefield Road, Palo Alto, California 94301. Other members of the search committee are Charles S. Carver, Ravenna S. Helson, Walter Mischel, Lawrence A. Pervin, and Jerry S
via:
- Happiness is everything, or is it? Explorations on the meaning of psychological well-being.
https://psycnet.apa.org/record/1990-12288-001