
文章题目:Age-sex-specific burden of urological cancers attributable to risk factors in China and its provinces, 1990-2021, and forecasts with scenarios simulation: a systematic analysis for the Global Burden of Disease Study 2021
DOI:10.1016/j.lanwpc.2025.101517
中文标题:1990-2021 年中国及其省份由风险因素引起的泌尿系统癌症年龄-性别特异性负担及情景模拟预测:2021 年全球疾病负担研究的系统分析
发表杂志:Lancet Reg Health West Pac
影响因子:1区,IF=7.6
发表时间:2025年3月
今天给大家分享一篇在2025年3月发表在《Lancet Reg Health West Pac》(1区,IF=7.6)的文章。本研究旨在研究1990-2021 年中国及其省份由风险因素引起的泌尿系统癌症年龄-性别特异性负担。
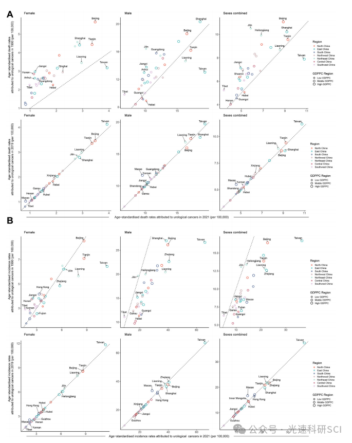
研究方法:本研究利用全球疾病负担(GBD) 中国数据库,分析了中国及其 34 个省份的发病率、患病率、死亡率、残疾调整生命年 (DALY)、残疾生存年 (YLD) 和寿命损失年 (YLL) 的年龄性别特异性模式,以及人均国内生产总值 (GDPPC) 与这些模式之间的关联。重要的是,开创了多关注深度学习管道 (iTransformer) 来模拟泌尿系统癌症、风险因素、GDPPC 和人口的时空模式,以提供针对泌尿系统癌症负担的年龄-性别-位置特定长期预测,并调查风险因素导向的干预措施对其未来负担的影响。
Table&Figure










结果解读:从1990 年到 2021 年,中国泌尿系统癌症的发病率和患病率有所增加,导致 2021 年新发病例为 266,887 例 (95% 置信区间: 205,304-346,033) 和 159,506,067 例 (12,236,0000-207,447,070) 例,主要由 55+ 岁的男性驱动。2021 年,中国台湾、北京和浙江的泌尿系统癌年龄标化发病率 (ASIR) 和年龄标化患病率最高,凸显了疾病负担的显著区域差异。相反,全国年龄标化死亡率 (ASMR) 已从 1990 年的每 100,000 人 6.5 (5.1-7.8) 下降到 2021 年的 5.6 (4.4-7.2),特别是在吉林 [-166.7% (-237 至 -64.6)]、西藏 [-135.4% (-229.1 至 4.4)] 和黑龙江 [-118.5% (-206.5 至 -4.6)]。具体来说,膀胱癌和睾丸癌的全国 ASMR 分别降低了 -32.1%(-47.9 至 1.9)和 -31.1%(-50.2 至 7.2),而前列腺癌和肾癌上升了 7.9%(-18.4 至 43.6)和 9.2%(-12.2 至 36.5)。泌尿系统癌症的年龄标准化 DALY 、 YLDs 和 YLLs 与 ASMR 一致。除 < 5 岁外,所有人群中男性患泌尿系统癌症的负担都高于女性。从区域和省份来看,GDPPC 高省份的前列腺癌负担最高,而其他省份的主要负担是膀胱癌。2021 年泌尿系统癌症的主要危险因素是吸烟 [占 55.1% (42.7-67.4)]、高体重指数 [13.9% (5.3-22.4)]和高空腹血糖指数 [5.9% (-0.8 至 13.4)]男性和女性,吸烟对男性影响显著,体重指数高对女性影响显著。 2022 年至 2040 年间,泌尿系统癌症的 ASIR 从 10.09 (9.19-10.99) 增加到 14.42 (14.30-14.54),尽管它们的 ASMR 有所下降。值得注意的是,前列腺癌超过膀胱癌成为主要亚类别,55+ 岁人群的 ASIR 增加最高,凸显了泌尿系统癌症负担的衰老相关转变。实施针对性干预措施后,吸烟控制对泌尿系统癌症负担的减轻最大,主要影响男性膀胱癌 (下降 -45.8%)。在女性中,控制吸烟和高空腹血糖在泌尿系统癌症中降低了 5.3% 和 5.8% 的 ASMR。最后,预测模型的平均均方百分比误差、绝对百分比误差和均方根对数误差分别为 0.54 ± 0.22、1.51 ± 1.26 和 0.15 ± 0.07,表明该模型表现良好。
结论:泌尿系统癌症呈老龄化趋势,55+ 岁人群的发病率增加,使前列腺癌成为最棘手的子类别。此外,泌尿系统癌症负担因年龄、性别和省份而异。根据我们的研究结果,当局和政策制定者可以改进或定制针对特定人群的健康策略,包括促进戒烟、减轻体重和控制血糖。
大家在科研路上,可以借鉴这种研究方法,为自己的课题添砖加瓦。万层高楼平底起,一起加油呀!