此篇为两本书的相关内容,并没有进行整合,可能有重复部分
11.导数和图像
1.一阶导数帮我们理解函数的最大值和最小值
2.二阶导数帮我们理解函数的凹凸性

11.1函数的极值
11.1.1 全局极值和局部极值
全局极值(整个定义域)

局部极值(定义域内某区间内)

11.1.2 极值定理
临界点
如果函数在 x = c x=c x=c 处的导数等于0或导数不存在,称 x = c x=c x=c 为 临界点

11.1.3 求全局最大值和最小值
定义域不是有限的情况下
求闭区间 [ a , b ] [a,b] [a,b] 内的全局最大值和最小值步骤

定义域不是有限的情况下

11.2 罗尔定理


罗尔定理适合的场合

罗尔定理不适合的场合

11.3 中值定理




中值定理的推论


11.4 二阶导数和图像
一阶导 f ′ ( x ) > 0 f'(x)\gt 0 f′(x)>0 在上坡
一阶导 f ′ ( x ) < 0 f'(x)\lt 0 f′(x)<0 在下坡
此图来自本人博客:Chapter6求解微分问题

下面为原函数图像,由此图像获得一阶导信息,由一阶导信息得二阶导信息
二阶导是一阶导的导数,即二阶导描述了一阶导函数图像的信息
二阶导 f ′ ′ ( x ) > 0 f''(x)\gt 0 f′′(x)>0 代表一阶导函数图像一直在增加
二阶导 f ′ ′ ( x ) < 0 f''(x)\lt 0 f′′(x)<0 代表一阶导函数图像一直在减小

二阶导 f ′ ′ ( x ) > 0 f''(x)\gt 0 f′′(x)>0 的情况

二阶导 f ′ ′ ( x ) < 0 f''(x)\lt 0 f′′(x)<0 的情况

拐点


如果想找拐点,确实应该找 f ′ ′ ( x ) = 0 f''(x)=0 f′′(x)=0 的点。这样做至少可以缩小寻找范围,然后再逐一检验这些 f ′ ′ ( x ) = 0 f''(x)=0 f′′(x)=0 的点附近的情况,进而确定凹凸性

例子:

11.5 对导数为零点的分类
11.5.0 判断函数凹凸性的两种方法
如果想判断函数的凹凸性,有两种方法:
- 使用一阶导,观察 x = c x=c x=c 附近的一阶导的符号
- 使用二阶导,考虑在 x = c x=c x=c 点的二阶导的符号
11.5.1 使用一阶导数


11.5.2 使用二阶导数


4.导数的应用
4.1 极值定理


4.2 绝对极值和局部极值


4.3 寻找局部极值和绝对极值
4.3.1 寻找局部极值


4.3.2 寻找全局极值

4.3.3 一阶导数检验局部极值


4.4 罗尔定理(中值定理的特殊情况)


4.5 中值定理


4.6 凹凸性与二阶导
4.6.1 二阶导检验凹凸性
坡度变平,一阶导减小
坡度变陡,一阶导增大


4.6.2 二阶导检验局部极值


4.6.3 画函数图像流程

4.6.4 一阶导、二阶导对函数图像的影响

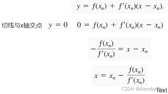
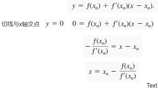
4.7 牛顿法(对根的估计)
猜想第一个根 x 0 x_0 x0,随后做函数中此点处的切线,切线与 x x x 轴的交点作为第二个根,以此类推。




牛顿法失效的情况
情况一:无法接近真实根
第一个猜想根为 x 0 x_0 x0,做 x 0 x_0 x0 处的切线,切线与x轴交点为 x 1 x_1 x1,做 x 1 x_1 x1 处的切线,切线与 x 轴的交点为 x 0 x_0 x0,所以永远不会得到真实根

情况二:接近错误的根
