1 内容介绍
近年来随着全球性的环境污染问题与能源危机日益突出,人们的环保意识与节能意识不断提高,使得微电网成为了电力系统领域的研究热点之一。相对于传统的大电网,微电网具有自身的特点和优势,发电过程产生的污染物少、发电效率高、化石能源使用率低、可忽略电能传输损耗。在对微电网进行工程运用时,优化微电网的调度模型具有十分重要的现实意义,微电网运行成本归根结底在于机械设备的使用维护消耗,各机械设备运行状态好使用周期长则成本相应会减少,优化调度模型可以在优化微网的分布式电源设备使用状态的同时优化用户侧机械设备的运行状态。机械设备运行状态是经济成本的内在本质,本论文研究的是考虑需求侧响应的微电网,综合考虑需求侧响应、经济成本、环境成本,得到最优的微电网日前调度模型,使得供给侧与需求侧机械设备运行状态达到最优状态。
2 仿真代码
function cost=shiyingzhi_grid(PGT,iii,PL_new)
%适应值函数
%--------------------------------------------------------------------------
PGT=PGT;
T=1;
N=5;
% 输入原始数据,包括各时段负荷大小,发电机有功输出上下限,发电机耗量成本系数,各时段风电场预测的平均输出功率
pmax(1)=115;pmin(1)=0;
pmax(2)=40;pmin(2)=10; % FC
pmax(3)=40;pmin(3)=10; % MT
pmax(4)=30;pmin(4)=0; % DG
% 污染物排放成本
% aa表示NOX,bb表示so2,cc表示co2,从左到右依次为Grid,DG,MT,FC
aa=[3.6,21.8,0.03,0.44];
bb=[4.54,0.454,0.006,0.008];
cc=[23,1.432,1.078,1.596];
% 柴油发电机的耗量参数
a=0.4333; b=0.2333;c=0.0071;
% 微型燃气轮机,P_mt表示燃气轮机发出的功率,Xl_mt表示燃气轮机的效率
Xl_mt=0.5;
Price_mt=0.39;
L=9.7; % 天然气的低热值,单位是kW.h/m3,千瓦时每立方米
% Xl_mt=0.0753*(P_mt/65)^3-0.3095*(P_mt/65)^2+0.1068;
% 燃料电池
Xl_fc=0.6;
Price_fc=0.39;
Price_grid=0.07; % 电网平均电价
Price_grid_sell=0.07; % 微网多余电能销售给电网的电价
% Price_grid=[0.03 0.03 0.03 0.03 0.03 0.06 0.06 0.06 0.06 0.06 0.06 0.09 0.09 0.09 0.06 0.06 0.06 0.09 0.09 0.09 0.09 0.06 0.03 0.03];
%Price_grid=[0.01 0.01 0.01 0.01 0.01 0.04 0.04 0.04 0.04 0.04 0.04 0.1 0.1 0.1 0.04 0.04 0.04 0.1 0.1 0.1 0.1 0.04 0.01 0.01];
%%%%%%%%%%=[ 1 2 3 4 5 6 7 8 9 10 11 12 13 14 15 16 17 18 19 20 21 22 23 24]
%--------------------------------------------------------------------------
C=zeros(1,T);
Cost=0;
% % s=a+b*PGT(1)+c*PGT(1)*PGT(1)+Price_fc*PGT(2)/Xl_fc+Price_mt*PGT(3)/(0.0753*(PGT(3)/65)^3-0.3095*(PGT(3)/65)^2+0.4174*PGT(3)/65+0.1068)+1000000*(sum(PGT(1:N))-PL_new)^2;
% 目标1
if PGT(1)>=0
s=a+b*PGT(4)+c*PGT(4)*PGT(4)+(Price_fc/L)*PGT(2)/Xl_fc+(Price_mt/L)*PGT(3)/Xl_mt+Price_grid*PGT(1)+10000000000000000*(sum(PGT(1:N))-PL_new)^2;
else
s=a+b*PGT(4)+c*PGT(4)*PGT(4)+(Price_fc/L)*PGT(2)/Xl_fc+(Price_mt/L)*PGT(3)/Xl_mt+Price_grid_sell*PGT(1)+10000000000000000*(sum(PGT(1:N))-PL_new)^2;
end
Cost=Cost+s;
% 目标2
% if PGT(1)>=0
% s=0.0042*(aa(1)*PGT(1)+aa(2)*PGT(4)+aa(3)*PGT(3)+aa(4)*PGT(2))+0.00099*(bb(1)*PGT(1)+bb(2)*PGT(4)+bb(3)*PGT(3)+bb(4)*PGT(2))+0.000014*(cc(1)*PGT(1)+cc(2)*PGT(4)+cc(3)*PGT(3)+cc(4)*PGT(2))+10000000000*(sum(PGT(1:N))-PL_new)^2;
% else
% s=0.0042*(aa(2)*PGT(4)+aa(3)*PGT(3)+aa(4)*PGT(2))+0.00099*(bb(2)*PGT(4)+bb(3)*PGT(3)+bb(4)*PGT(2))+0.000014*(cc(2)*PGT(4)+cc(3)*PGT(3)+cc(4)*PGT(2))+10000000000*(sum(PGT(1:N))-PL_new)^2;
% end
% Cost=Cost+s;
% 目标 3
% if PGT(1)>=0
% s1=a+b*PGT(4)+c*PGT(4)*PGT(4)+(Price_fc/L)*PGT(2)/Xl_fc+(Price_mt/L)*PGT(3)/Xl_mt+Price_grid*PGT(1)+10000000000000000*(sum(PGT(1:N))-PL_new)^2;
% s2=0.0042*(aa(1)*PGT(1)+aa(2)*PGT(4)+aa(3)*PGT(3)+aa(4)*PGT(2))+0.00099*(bb(1)*PGT(1)+bb(2)*PGT(4)+bb(3)*PGT(3)+bb(4)*PGT(2))+0.000014*(cc(1)*PGT(1)+cc(2)*PGT(4)+cc(3)*PGT(3)+cc(4)*PGT(2));
% s=s1+s2;
% else
% s1=a+b*PGT(4)+c*PGT(4)*PGT(4)+(Price_fc/L)*PGT(2)/Xl_fc+(Price_mt/L)*PGT(3)/Xl_mt+Price_grid_sell*PGT(1)+10000000000000000*(sum(PGT(1:N))-PL_new)^2;
% s2=0.0042*(aa(2)*PGT(4)+aa(3)*PGT(3)+aa(4)*PGT(2))+0.00099*(bb(2)*PGT(4)+bb(3)*PGT(3)+bb(4)*PGT(2))+0.000014*(cc(2)*PGT(4)+cc(3)*PGT(3)+cc(4)*PGT(2));
% s=s1+s2;
% end
% Cost=Cost+s;
cost=Cost;
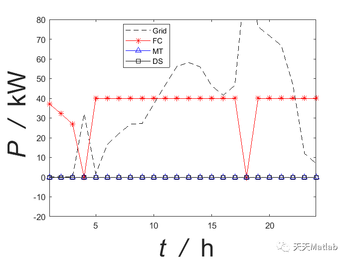
3 运行结果

4 参考文献
[1]孙阳. 基于粒子群算法的微电网调度模型及优化运行策略研究[D]. 吉林大学.
[2]李彦昭, 王击. 基于粒子群算法的微电网并网运行的优化调度[J]. 信息通信, 2018(4):2.
博主简介:擅长智能优化算法、神经网络预测、信号处理、元胞自动机、图像处理、路径规划、无人机等多种领域的Matlab仿真,相关matlab代码问题可私信交流。
部分理论引用网络文献,若有侵权联系博主删除。