此示例演示如何使用到达时差 (TDOA) 跟踪对象。本示例介绍了使用 TDOA 测量进行定位的挑战,以及可用于使用 TDOA 技术跟踪单个和多个物体的算法和技术。
一、介绍
TDOA定位是一种无源技术,通过利用多个空间分离的接收器的信号到达时间的差异来定位和跟踪发射物体。给定信号发射时间(t和) 从对象和传播速度 (c) 在介质中,信号在位于距离内的 2 个接收器上的到达时间 (TOA)r 1 和r阿拉伯数字分别从对象可以表示为:

由于真实的信号发射时间通常是未知的,因此两者之间的差异t1和t阿拉伯数字可用于获取有关对象位置的一些信息。具体来说,给定每个接收器的位置,时间差测量对应于从两个接收器到未知物体的范围差异。

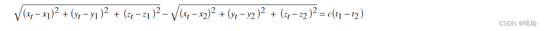
[xt yt zt ]是未知物体的位置,t1−t阿拉伯数字是 TDOA 测量值,并且[x1y1 z1], [x阿拉伯数字y2 z阿拉伯数字]是两个接收器的位置。TDOA 和物体位置之间的这种非线性关系表示 2-D 中的双曲线或 3-D 坐标中的双曲面,焦点处有两个接收器。下图显示了不同TDOA测量(c= 光速)。这些曲线通常称为恒定TDOA曲线。请注意,使用 TDOA 测量值的符号,可以将对象位置限制为双曲线的单个分支。

1.1 TDOA 计算
有两种主要方法可用于根据物体的信号计算TDOA测量值。在第一种方法中,每个接收器测量信号到达的绝对时间时刻(到达时间或TOA),定义如下:t我以上。然后计算两个接收器之间的到达时间差,以获得TDOA测量值。此方法适用于某些信号属性先验已知且接收器可以检测到信号前沿的情况。
![]()
在第二种方法中,每个接收器记录接收的信号并将其传输到共享处理中心。从两个接收器接收的信号之间的互相关在处理中心计算。TDOA估计是最大化两个信号之间互相关的延迟。

[S1⋆S2](t)表示接收器信号之间的互相关作为时间延迟的函数,t. T.max是最大可能的绝对延迟,可以计算为DC哪里D是接收器之间的距离。
这两种TDOA计算方法都需要接收器上的同步时钟。在实际应用中,通常使用全球定位系统 (GPS) 时钟来实现这一点。
1.2 TDOA 本地化
由于两个接收器之间的TDOA将物体定位为双曲线或双曲面,因此仅使用两个固定接收器无法观察物体的完整状态。对于 2-D 定位,至少需要 3 个空间分离的接收器来估计物体状态。同样,对于 3D 跟踪,至少需要 4 个空间分离的接收器。
跟N (N≥2)接收器,总共N(N−1阿拉伯数字)来自物体的TDOA测量值可以通过使用每个接收器组合计算到达的时间差来获得。然而,在这些测量中,只有N−1 测量是独立的,其余的TDOA测量可以表述为这些独立测量的线性组合。鉴于这些N−1从物体测量,通常使用估计算法来定位物体的位置。在此示例中,您使用球面交集算法 [1] 来查找位置估计中的位置和不确定性。球面交集算法假设所有N−1TDOA是相对于同一接收器(有时称为参考接收器)计算的。
从定位获得的估计位置的精度或不确定性取决于网络的几何形状。在TDOA测量中的小误差导致估计位置的大误差的区域,估计位置的精度较低。这种效应称为精度几何稀释 (GDOP)。下图显示了具有 3 个接收器的 2-D 方案的网络几何图形的 GDOP 热图。请注意,在网络生成的包络范围内,精度较高,而在接收器到接收器视线的直接后面,精度最低。

二、跟踪单个发射器
将模拟来自单个对象的 TDOA 测量,并在没有任何误报和遗漏检测的情况下使用它们来定位和跟踪对象。 使用帮助程序函数定义二维方案。此函数返回一个trackingScenarioRecording对象,该对象表示以恒定速度移动的单个对象。该物体由三个静止的、空间分离的接收器观测。帮助程序函数还返回一个由两列组成的矩阵,该矩阵表示由接收器形成的对。每行代表构成 TDOA 测量的平台。
然后,使用帮助程序函数模拟来自对象的 TDOA 测量值。辅助功能允许在 TDOA 中指定测量精度。使用 100 纳秒的测量精度来表示时钟中的时序误差以及 TDOA 估计。发射速度和报告时间的单位分别是真空中的光速和纳秒,使用函数指定。
每个TDOA检测使用以下格式表示:

接下来,运行方案并从对象生成 TDOA 检测。您可以使用辅助函数,使用球面交集算法 [1] 估计对象在每一步的位置和位置协方差。您可以使用全局最近邻 (GNN) 跟踪器进一步过滤对象的位置估计值,该跟踪器使用具有等速线性卡尔曼滤波器的跟踪器GNN系统对象™进行配置。为了考虑物体的高速,这个等速卡尔曼滤波器是使用辅助函数配置的。



三、跟踪具有已知 ID 的多个发射器
在上一节中,学习了如何使用来自单个对象的 TDOA 测量来生成对象的位置测量。在实际情况下,方案可能包含多个对象。
多目标TDOA跟踪的主要挑战是估计每个目标的TDOA。在存在多个物体的情况下,每个接收器接收来自多个物体的信号。在TDOA计算的第一种方法中,每个接收器记录多个到达时间测量值。每个接收器报告的到达时间测量之间的未知数据关联导致许多可能的TDOA组合。在TDOA计算的第二种方法中,接收器信号之间的信号互相关函数导致对应于真实对象的多个峰值以及误报。在某些应用中,接收器之间的这种未知数据关联可以在信号级轻松解决。例如,如果信号编码是先验已知的,例如在LTE、5G信号等无线通信信号或ADSB信号等航空通信信号中,则接收器通常能够计算到达时间和对象的唯一标识。同样,如果物体的载波频率是分开的,则可以为每个物体在其自己的频带中添加单独的TDOA计算。
在本节中,假设信号级数据关联是在接收器上执行的。这有助于处理中心对每个已识别的对象形成TDOA测量,而不会产生歧义。若要使用已知发射器标识模拟 TDOA 测量,请向帮助程序函数提供第四个输入参数。该函数输出发射器的唯一标识作为对象的属性。可以使用此对象标识(在来自多个接收器对的 TDOA 之间共享)分别融合来自每个对象的检测,并获得它们各自的位置和不确定性。然后,使用这些融合测量值使用 GNN 跟踪器跟踪这些对象。

当假设 TDOA 到 TDOA 关联已知时,跟踪器能够保持对所有 4 个对象的跟踪。当接收器提供数据关联时,多目标 TDOA 估计将简化为生成具有已知单对象关联的多个 TDOA 检测。多目标跟踪问题同样简化,因为没有错误的TDOA检测。
四、跟踪具有未知 ID 的多个发射器
在本节中,假设接收方数据之间的数据关联不是先验已知的,即接收方无法识别对象。在没有此数据关联的情况下,跟踪具有已知 ID 的多个发射器部分的绘图中显示的蓝色和栗色双曲线之间的每个交点都可能是对象位置。因此,当接收器无法提供数据关联时,将来自多个接收器的到达时间 (TOA) 或 TDOA 检测关联起来很容易检测到来自重影对象。若要将重影检测与真实对象检测分开,必须添加更多接收器以减少歧义。在本节中,将使用静态融合算法来确定未知数据关联并估计每个对象的位置测量值。将将此静态融合算法用于将多个到达时间测量值传输到处理中心的系统,以及将记录的信号传输到集线器并在处理它们以进行对象跟踪之前计算 TDOA 的系统。
4.1 使用到达时间 (TOA) 测量进行跟踪
在本节中,将配置一个系统,其中每个接收器将多个到达时间 (TOA) 测量值传输到中央处理中心。为了减少数据关联的模糊性并减少潜在重影对象的数量,您可以使用 4 个固定接收器来定位和跟踪对象。
若要模拟对象的到达时间测量值,请使用帮助程序函数来模拟来自多个对象的到达时间测量值。这些到达时间测量记录接收器接收信号的全局参考时钟中的确切时间时刻。为了模拟精确的时间时刻,帮助程序函数使用方案时间作为全局时钟时间,并假定对象在方案的时间时刻发出信号。请注意,用于跟踪这些测量值的算法与此假设无关,因为接收器不知道物体的确切发射时间。
将输入指定为 1 以模拟来自每个接收器的一个错误的到达时间测量。您还可以指定输入,该输入定义每个接收器检测到真实到达时间测量值的概率为 0.95。
下面是到达时间 (TOA) 检测的格式。

要融合来自每个接收器的多个到达时间测量值,请通过配置staticDetectionFuser对象来使用静态融合算法。该对象确定到达时间测量之间的最佳数据关联,并提供来自可能对象的融合检测。静态融合算法需要两个子例程或函数。第一个函数允许算法估计来自对象的融合测量值,给定一组假定来自同一对象的到达时间测量值。第二个函数允许算法从融合测量中获得预期的到达时间测量值。请注意,要定义测量函数以获得到达时间测量,融合测量必须包含对物体信号发射时间的估计。
可以使用辅助函数来估计对象的融合测量值(位置和发射时间)。还可以使用帮助程序函数来定义测量模型,该模型根据融合测量计算到达时间测量值。融合算法将融合检测输出为对象的单元数组。单元数组的每个元素定义一个包含潜在对象测量的对象作为其位置和发射时间。可以通过指定属性来加速此静态融合算法。指定为需要并行计算工具箱。

大多数时候,fuser 算法能够准确估计对象的位置。但是,由于存在误报和错过的测量,融合算法可能会在某些步骤中选择错误的数据关联。这可能会导致从幽灵交叉路口检测到。跟踪器通过丢弃这些错误关联作为误报来辅助静态融合算法。
4.2 使用到达时差 (TDOA) 测量进行跟踪
在本节中,将为一个系统配置跟踪算法,其中TDOA由来自多个对象的接收器对形成,没有任何发射器标识。在多目标场景中,由于互相关函数中的假峰值,从接收器对计算TDOA可能会产生一些误报。要模拟来自此类系统的 TDOA 测量,请将每个接收机对的误报数量增加到 2 个。
静态融合算法的配置与上一节类似,通过使用对象。与到达时间融合相反,此处使用测量融合功能将多个TDOA融合到一个融合的测量中。还可以使用帮助程序函数来定义从融合测量到 TDOA 测量的转换。

通过此示例中定义的测量统计数据,跟踪器根据此网络几何图形维护所有对象的轨迹。对于数据关联未知的TOA和TDOA系统,问题的几何形状、测量精度以及误报次数均对静态融合算法的数据关联精度有重大影响。对于此示例中使用的场景,静态融合算法能够在足够的时间时刻报告真实检测,以保持对真实对象的跟踪。
五、总结
在此示例中,学习了如何使用 TDOA 测量跟踪单个对象以及多个对象。了解了与多目标跟踪相关 的挑战,而没有接收机的发射极识别信号,并 使用静态融合算法来计算测量级别的数据关联。
六、程序
使用Matlab,点击打开。

打开下面的“ObjectTrackingUsingTDOAExample.mlx”文件,点击运行,就可以看到上述效果。

关注下面公众号,后台回复关键词:到达时差跟踪对象仿真,发送源码链接。