目录
Wavefront Object File Format(.Obj文件) :
第十一节课 : 曲线和曲面
点云 (点的集合)
① 可表示任何一个几何
② 扫描得出一堆点云, 如何通过点云得出它们所构成的多角形.

多边形面(Polygon Mesh) :
① 易于做处理/模拟,附加采样
② 更多链接数据结构
③ 在图形学中,得到最广泛的显示表示

Wavefront Object File Format(.Obj文件) :
所包含内容有:
V : 顶点坐标
Vt : 纹理坐标
Vn : 法线向量
f 5/1/1 :表示取第5个顶点坐标v5, 第1个纹理坐标vt1, 第1个法线向量vn1
f 5/1/1 1/2/1 4/3/1 :表示v5, v1, v4三个顶点坐标连成一个三角形, 一一对应的纹理坐标为vt1, vt2, vt3, 法线为vn1.

曲线(Curves) :
贝塞尔曲线(Bezier Curves):
① 必须经过起始点p0,p3
② 沿着p0p1方向走, 往p2p3方向出去, 必须是沿着切线方向来和走.
四个控制点

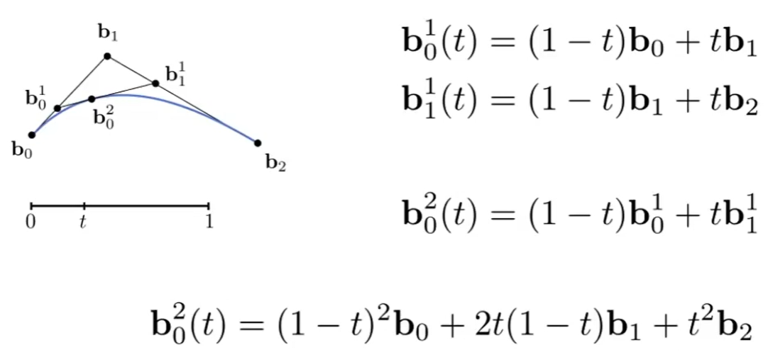
德卡斯特里奥算法(de casteljau algorithm)算出贝塞尔曲线 :
三个点组成 (下面曲线名字为二阶贝塞尔曲线quadratic Bezier)

定义曲线起点时间t为0, 终点为1
所以画出这条曲线, 相当于给出在时间0~1, 点在平面上的位置
显示表示几何(拥有参数t)
算法过程 :
① 假设现在参数时间t =1/3
② 找出b0到b1线段上1/3位置b10

③ 同样道理, 找出b1和b2线段上1/3的位置b11

④ 把b10和b11两个点连起来, 找出b10和b11线段上1/3的位置b20
⑤ 这个b20就是在时间t=1/3时, 位于二阶贝塞尔曲线上的点.

⑥ 只要用以上算法, 给t设足够多的值, 枚举出足够多的点, 就可以画出二阶贝塞尔曲线

四个点组成的三阶贝塞尔曲线 :
流程图 :
这里假设t =0.5

最后就找到了在时间t=0.5下, 位于三阶贝塞尔曲线的点.
枚举出更多的点, 就能得出三阶贝塞尔曲线

计算贝塞尔曲线的代数公式
每一个向右的箭头都是乘以t
每一个向左的箭头是乘以(1-t)
每两个点做一个线性插值, 得出一个点.

将过程显示写出来 :
当t = 0, 就是b0位置

总结 :
总共有n个控制点, 可以得到n-1阶的贝塞尔曲线.
贝塞尔多项式 :
贝塞尔曲线都是之前给定点的线性组合, 它们的系数是伯思斯坦多项式(Bernstein polynomial)

将上述公式简化 :
n(左边式子)表示多少阶, 控制点为0阶, 每插值操作一次得到的所有点升1阶.
j 表示第几个控制点.

举例四个控制点, 将贝塞尔多项式展开

伯思斯坦多项式(Bernstein polynomial) :

贝塞尔曲线的性质 :
下面以三个控制点组成的二阶贝塞尔曲线为例
① t = 0时,一定在起点; t = 1时, 一定在终点.
![]()
② 这只是四个控制点的公式 :(如果不是四个,那么系数不一定是3)
b’(0) :起始的切线方向 b’(1) :终点的切线方向
![]()
③ 只在仿射变换下才能保证与原来的贝塞尔曲线一致,其它变换不行(投影等等): 通过变换控制点来变换曲线

④ 凸包性质
画出的贝塞尔曲线, 必须在由控制点组成的凸包内.

⑤ 高阶贝塞尔曲线(多个控制点组成) :
缺点 :不利于控制它的走向

⑥ 为了解决难控制问题 :
提出了分段三次贝塞尔曲线
(通过四个控制点形成的低阶贝塞尔曲线, 将它们连在一起得到更长的高阶贝塞尔曲线).

⑦ 如何使终点光滑(往切线方向)
答 :相关的两个控制点离终点距离一样, 且共线.
例子看如下 :(从左往右)第3,4个控制点

两条贝塞尔曲线 :

不同的两条贝塞尔曲线的连续定义 :
① 曲线的终点是另一条曲线的起点
② 切线连续,向量(a(n)-a(n-1))与(b(1)-b(0))长度一样, 方向一样

B-splines (B样条)
在本节课就不阐述, 需要深入学习进入下方网站.

贝塞尔曲面
例子:

用4*4的控制点形成一个曲面 :

得到贝塞尔曲面过程 :

贝塞尔曲面计算图 :

具体做法 :
需要 :
① 4*4的控制点
② 一个2D的(u , v)坐标, 类似于纵向的t1 (求在纵向上每条贝塞尔曲线在 t1时刻的点(蓝线), 下图中的四个点), 横向的t2(求横向上t2时的点, 下图中四个点连成的一条横向的线).
