代码随想录算法训练营第三天的总结
文章目录
- 链表理论基础
- 一、移除链表元素
- 二、设计链表
- 三、翻转链表
链表理论基础
链表跟数组的结构是不一样的,所谓链表,就是每个节点链接着的一样,前一个节点都用指针的形式指向后面的节点;链表结构有三种,单链表和双链表和循环链表
1.单链表,如下图所示,每一个长方体表示一个节点,每一个节点又分数据域和指针域,第一个节点也叫做头节点,单链表的最后一个节点的指针域是指向null的,链表的每个节点在内存中的分布的不均匀的,靠的是节点中的指针来链接的。
2.双链表,如下图所示,双链表和单链表不一样,双链表每个节点包括两个指针域和一个数据域,指针一个向前一个向后,而且双链表的头节点和尾部的节点都会指向null。
3.循环链表,由这名字就能想到是啥样子,就是链表的头节点和尾节点是相连的,与单链表的结构类似,也就是单链表最后的节点指向了头节点
在Java语言中定义链表
public class ListNode {
// 结点的值
int val;
// 下一个结点
ListNode next;//next就相当于指针一样,指向的是下一个节点
// 节点的构造函数(无参)
public ListNode() {
}
// 节点的构造函数(有一个参数)
public ListNode(int val) {
this.val = val;
}
// 节点的构造函数(有两个参数)
public ListNode(int val, ListNode next) {
this.val = val;
this.next = next;
}
}
注意:需要注意的是,如果需要改变或者添加节点,就需要改变指针的指向,先遍历到准备改变的位置再进行相关的操作,这会比操作数组麻烦很多。以下三个题会告诉改变链表的相应操作。
一、移除链表元素
给你一个链表的头节点 head 和一个整数 val ,请你删除链表中所有满足 Node.val == val 的节点,并返回 新的头节点 。
示例 1:
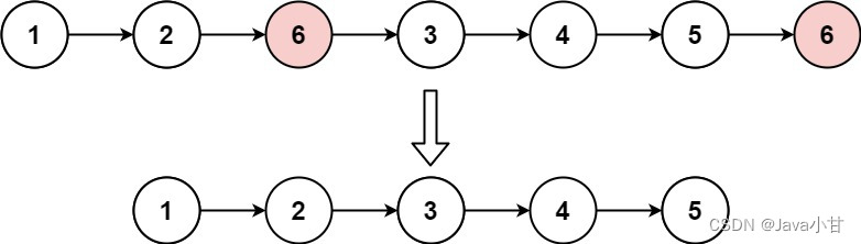
输入:head = [1,2,6,3,4,5,6], val = 6
输出:[1,2,3,4,5]
示例 2:输入:head = [], val = 1
输出:[]
示例 3:输入:head = [7,7,7,7], val = 7
输出:[]
思路:先定义一个链表,力扣一般都是给你定义好的,然后以示例一图片为例,假如要去除节点数据值为6的节点,首先进行遍历,找到数据值val=6的节点,然后将该节点的前一个节点也就是数值为2的节点的指针指向目标节点的后面一个节点,然后第一个val=6的节点的自动删除了,Java有自己的回收机制,不用写回收的代码,代码如下所示。
class Solution {
public ListNode removeElements(ListNode head, int val) {
//头节点如果是目标节点就需要单独判断一下
while (head != null && head.val == val) {
head = head.next;
}
// 已经为null,提前退出
if (head == null) {
return head;
}
// 已确定当前head.val != val
ListNode pre = head;
ListNode cur = head.next;
while (cur != null) {
//用if语句先找到val的位置,然后用双指针的操作
if (cur.val == val) {
pre.next = cur.next;
} else {
pre = cur;
}
cur = cur.next;
}
return head;
}
}
二、设计链表
题目如下:
设计链表的实现。您可以选择使用单链表或双链表。单链表中的节点应该具有两个属性:val 和 next。val 是当前节点的值,next 是指向下一个节点的指针/引用。如果要使用双向链表,则还需要一个属性 prev 以指示链表中的上一个节点。假设链表中的所有节点都是 0-index 的。
在链表类中实现这些功能:
get(index):获取链表中第 index 个节点的值。如果索引无效,则返回-1。
addAtHead(val):在链表的第一个元素之前添加一个值为 val 的节点。插入后,新节点将成为链表的第一个节点。
addAtTail(val):将值为 val 的节点追加到链表的最后一个元素。
addAtIndex(index,val):在链表中的第 index 个节点之前添加值为 val 的节点。如果 index 等于链表的长度,则该节点将附加到链表的末尾。如果 index 大于链表长度,则不会插入节点。如果index小于0,则在头部插入节点。
deleteAtIndex(index):如果索引 index 有效,则删除链表中的第 index 个节点。
都是用虚拟头节点的方式做的
1.功能一,就遍历就成,遍历的时候注意指针指向
2.功能四能解决,直接调用
3.功能四能解决,直接调用
4.这个需要注意,具体看如下代码
代码如下(示例);
//单链表
class ListNode {
int val;
ListNode next;
ListNode(){}
ListNode(int val) {
this.val=val;
}
}
class MyLinkedList {
//size存储链表元素的个数
int size;
//虚拟头结点
ListNode head;
//初始化链表
public MyLinkedList() {
size = 0;
head = new ListNode(0);
}
//获取第index个节点的数值
public int get(int index) {
//如果index非法,返回-1
if (index < 0 || index >= size) {
return -1;
}
ListNode currentNode = head;
//包含一个虚拟头节点,所以查找第 index+1 个节点
for (int i = 0; i <= index; i++) {
currentNode = currentNode.next;
}
return currentNode.val;
}
//在链表最前面插入一个节点
public void addAtHead(int val) {
addAtIndex(0, val);
}
//在链表的最后插入一个节点
public void addAtTail(int val) {
addAtIndex(size, val);
}
// 在第 index 个节点之前插入一个新节点,例如index为0,那么新插入的节点为链表的新头节点。
// 如果 index 等于链表的长度,则说明是新插入的节点为链表的尾结点
// 如果 index 大于链表的长度,则返回空
public void addAtIndex(int index, int val) {
if (index > size) {
return;
}
if (index < 0) {
index = 0;
}
size++;
//找到要插入节点的前驱
ListNode pred = head;
for (int i = 0; i < index; i++) {
pred = pred.next;
}
ListNode toAdd = new ListNode(val);
toAdd.next = pred.next;
pred.next = toAdd;
}
//删除第index个节点
public void deleteAtIndex(int index) {
if (index < 0 || index >= size) {
return;
}
size--;
if (index == 0) {
head = head.next;
return;
}
ListNode pred = head;
for (int i = 0; i < index ; i++) {
pred = pred.next;
}
pred.next = pred.next.next;
}
}
3.翻转链表
给你单链表的头节点 head ,请你反转链表,并返回反转后的链表。
示例 1:
输入:head = [1,2,3,4,5]
输出:[5,4,3,2,1]
示例 2:
输入:head = [1,2]
输出:[2,1]
示例 3:输入:head = []
输出:[]
class Solution {
public ListNode reverseList(ListNode head) {
ListNode pre=null;
ListNode cur =head;
ListNode temp=null;
while(cur!= null){
temp=cur.next;
cur.next=pre;//注意箭头指向,不要遗漏该等式
pre=cur;
cur=temp;
}
return pre;
}
}
翻转链表,先定义一个为null的节点,然后将头节点指向这个节点,然后开始遍历,pre与cur一直往后面移动,而且cur.next的值先找temp保存,然后给cur,这时呢改变一个方向之后pre,cur两个指针也移动了位置。
