文章目录
- 一.Redis 概述
- 二.Redis 数据类型
- 三.Redis 的发布和订阅
- 四.Redis 事务、锁机制秒杀
- 五.Redis_事务秒杀案例
- 六.Redis 持久化之 RDB
- 七.Redis 持久化之 AOF
- 八.Redis 主从复制
- 九.Redis 集群(cluster 模式)
- 十.Redis 应用问题解决
- 十一.Redis IO 多线程
- 十二.致谢
一.Redis 概述
1.1 Redis 介绍
- Redis 是一个开源的 key-value 存储系统。
- 和 Memcached 类似,它支持存储的 value 类型相对更多,包括 string (字符串)、list (链表)、set (集合)、zset (sorted set –有序集合) 和 hash(哈希类型)。
- 这些数据类型都支持 push/pop、add/remove 及取交集并集和差集及更丰富的操作,而且这些操作都是原子性的。
- 在此基础上,Redis 支持各种不同方式的排序。
- 与 memcached 一样,为了保证效率,数据都是缓存在内存中。
- 区别的是 Redis 会周期性的把更新的数据写入磁盘或者把修改操作写入追加的记录文件。
- 并且在此基础上实现了 master-slave (主从) 同步。
1.2 应用场景
配合关系型数据库做高速缓存
高频次,热门访问的数据,降低数据库 IO。
分布式架构,做 session 共享。

多样的数据结构存储持久化数据

1.3 相关技术
Redis 使用的是单线程 + 多路 IO 复用技术:
多路复用是指使用一个线程来检查多个文件描述符(Socket)的就绪状态,比如调用 select 和 poll 函数,传入多个文件描述符,如果有一个文件描述符就绪,则返回,否则阻塞直到超时。得到就绪状态后进行真正的操作可以在同一个线程里执行,也可以启动线程执行(比如使用线程池)。
串行 vs 多线程 + 锁(memcached) vs 单线程 + 多路 IO 复用 (Redis)(与 Memcache 三点不同:支持多数据类型,支持持久化,单线程 + 多路 IO 复用) 。
二.Redis 数据类型
2.1 Redis 字符串 (String)
2.1.1 概述
String 是 Redis 最基本的类型,你可以理解成与 Memcached 一模一样的类型,一个 key 对应一个 value。
String 类型是二进制安全的。意味着 Redis 的 string 可以包含任何数据。比如 jpg 图片或者序列化的对象。
String 类型是 Redis 最基本的数据类型,一个 Redis 中字符串 value 最多可以是 512M。
2.1.2 数据结构
String 的数据结构为简单动态字符串 (Simple Dynamic String, 缩写 SDS),是可以修改的字符串,内部结构实现上类似于 Java 的 ArrayList,采用预分配冗余空间的方式来减少内存的频繁分配.

如图中所示,内部为当前字符串实际分配的空间 capacity 一般要高于实际字符串长度 len。当字符串长度小于 1M 时,扩容都是加倍现有的空间,如果超过 1M,扩容时一次只会多扩 1M 的空间。需要注意的是字符串最大长度为 512M。
2.2 Redis 列表(List)
2.2.1 概述
单键多值:Redis 列表是简单的字符串列表,按照插入顺序排序。你可以添加一个元素到列表的头部(左边)或者尾部(右边)。它的底层实际是个双向链表,对两端的操作性能很高,通过索引下标的操作中间的节点性能会较差。

2.2.2 数据结构
- List 的数据结构为快速链表 quickList。
- 首先在列表元素较少的情况下会使用一块连续的内存存储,这个结构是 ziplist,也即是压缩列表。它将所有的元素紧挨着一起存储,分配的是一块连续的内存。
- 当数据量比较多的时候才会改成 quicklist。因为普通的链表需要的附加指针空间太大,会比较浪费空间。比如这个列表里存的只是 int 类型的数据,结构上还需要两个额外的指针 prev 和 next。

- Redis 将链表和 ziplist 结合起来组成了 quicklist。也就是将多个 ziplist 使用双向指针串起来使用。这样既满足了快速的插入删除性能,又不会出现太大的空间冗余。
2.3 Redis 集合(Set)
2.3.1 概述
Redis set 对外提供的功能与 list 类似,是一个列表的功能,特殊之处在于 set 是可以自动排重的,当你需要存储一个列表数据,又不希望出现重复数据时,set 是一个很好的选择,并且 set 提供了判断某个成员是否在一个 set 集合内的重要接口,这个也是 list 所不能提供的。
Redis 的 Set 是 string 类型的无序集合。它底层其实是一个 value 为 null 的 hash 表,所以添加,删除,查找的 ** 复杂度都是 O (1)**。
一个算法,随着数据的增加,执行时间的长短,如果是 O (1),数据增加,查找数据的时间不变。
2.3.2 数据结构
- Set 数据结构是 dict 字典,字典是用哈希表实现的。
- Java 中 HashSet 的内部实现使用的是 HashMap,只不过所有的 value 都指向同一个对象。Redis 的 set 结构也是一样,它的内部也使用 hash 结构,所有的 value 都指向同一个内部值。
2.4 Redis 哈希(Hash)
2.4.1 概述
Redis hash 是一个键值对集合。
Redis hash 是一个 string 类型的 field 和 value 的映射表,hash 特别适合用于存储对象。
类似 Java 里面的 Map<String,Object>。
用户 ID 为查找的 key,存储的 value 用户对象包含姓名,年龄,生日等信息,如果用普通的 key/value 结构来存储,主要有以下 2 种存储方式:


方法一:每次修改用户的某个属性需要,先反序列化改好后再序列化回去。开销较大。
方法二:用户 ID 数据冗余。

通过 key (用户 ID) + field (属性标签) 就可以操作对应属性数据了,既不需要重复存储数据,也不会带来序列化和并发修改控制的问题。
2.4.2 数据结构
Hash 类型对应的数据结构是两种:ziplist(压缩列表),hashtable(哈希表)。当 field-value 长度较短且个数较少时,使用 ziplist,否则使用 hashtable。
2.5 Redis 有序集合 Zset(Sorted set)
2.5.1 概述
Redis 有序集合 zset 与普通集合 set 非常相似,是一个没有重复元素的字符串集合。
不同之处是有序集合的每个成员都关联了一个评分(score),这个评分(score)被用来按照从最低分到最高分的方式排序集合中的成员。集合的成员是唯一的,但是评分可以是重复了 。
因为元素是有序的,所以你也可以很快的根据评分(score)或者次序(position)来获取一个范围的元素。
访问有序集合的中间元素也是非常快的,因此你能够使用有序集合作为一个没有重复成员的智能列表。
2.5.2 数据结构
SortedSet (zset) 是 Redis 提供的一个非常特别的数据结构,一方面它等价于 Java 的数据结构 Map<String, Double>,可以给每一个元素 value 赋予一个权重 score,另一方面它又类似于 TreeSet,内部的元素会按照权重 score 进行排序,可以得到每个元素的名次,还可以通过 score 的范围来获取元素的列表。
zset 底层使用了两个数据结构:
hash,hash 的作用就是关联元素 value 和权重 score,保障元素 value 的唯一性,可以通过元素 value 找到相应的 score 值。
跳跃表,跳跃表的目的在于给元素 value 排序,根据 score 的范围获取元素列表。
2.5.3 跳跃表
简介
有序集合在生活中比较常见,例如根据成绩对学生排名,根据得分对玩家排名等。对于有序集合的底层实现,可以用数组、平衡树、链表等。数组不便元素的插入、删除;平衡树或红黑树虽然效率高但结构复杂;链表查询需要遍历所有效率低。Redis 采用的是跳跃表,跳跃表效率堪比红黑树,实现远比红黑树简单。
实例
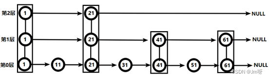
对比有序链表和跳跃表,从链表中查询出 51:
有序链表

要查找值为 51 的元素,需要从第一个元素开始依次查找、比较才能找到。共需要 6 次比较。跳跃表

从第 2 层开始,1 节点比 51 节点小,向后比较;
21 节点比 51 节点小,继续向后比较,后面就是 NULL 了,所以从 21 节点向下到第 1 层;
在第 1 层,41 节点比 51 节点小,继续向后,61 节点比 51 节点大,所以从 41 向下;
在第 0 层,51 节点为要查找的节点,节点被找到,共查找 4 次。
从此可以看出跳跃表比有序链表效率要高。
2.6 Redis Bitmaps
2.6.1 概述
Redis 提供了 Bitmaps 这个 “数据类型” 可以实现对位的操作:
Bitmaps 本身不是一种数据类型, 实际上它就是字符串(key-value) , 但是它可以对字符串的位进行操作。
Bitmaps 单独提供了一套命令, 所以在 Redis 中使用 Bitmaps 和使用字符串的方法不太相同。 可以把 Bitmaps 想象成一个以位为单位的数组, 数组的每个单元只能存储 0 和 1, 数组的下标在 Bitmaps 中叫做偏移量。
2.6.2 Bitmaps 与 set 对比
假设网站有 1 亿用户, 每天独立访问的用户有 5 千万, 如果每天用集合类型和 Bitmaps 分别存储活跃用户可以得到表:

很明显, 这种情况下使用 Bitmaps 能节省很多的内存空间, 尤其是随着时间推移节省的内存还是非常可观的。

但 Bitmaps 并不是万金油, 假如该网站每天的独立访问用户很少, 例如只有 10 万(大量的僵尸用户) , 那么两者的对比如下表所示, 很显然, 这时候使用 Bitmaps 就不太合适了, 因为基本上大部分位都是 0。

2.7 HyperLogLog
在工作当中,我们经常会遇到与统计相关的功能需求,比如统计网站 PV(PageView 页面访问量),可以使用 Redis 的 incr、incrby 轻松实现。但像 UV(UniqueVisitor 独立访客)、独立 IP 数、搜索记录数等需要去重和计数的问题如何解决?这种求集合中不重复元素个数的问题称为基数问题。
解决基数问题有很多种方案:
数据存储在 MySQL 表中,使用 distinct count 计算不重复个数。
使用 Redis 提供的 hash、set、bitmaps 等数据结构来处理。
以上的方案结果精确,但随着数据不断增加,导致占用空间越来越大,对于非常大的数据集是不切实际的。能否能够降低一定的精度来平衡存储空间?Redis 推出了 HyperLogLog。
Redis HyperLogLog 是用来做基数统计的算法,HyperLogLog 的优点是:在输入元素的数量或者体积非常非常大时,计算基数所需的空间总是固定的、并且是很小的。
在 Redis 里面,每个 HyperLogLog 键只需要花费 12 KB 内存,就可以计算接近 2^64 个不同元素的基数。这和计算基数时,元素越多耗费内存就越多的集合形成鲜明对比。
但是,因为 HyperLogLog 只会根据输入元素来计算基数,而不会储存输入元素本身,所以 HyperLogLog 不能像集合那样,返回输入的各个元素。
什么是基数?
比如数据集 {1, 3, 5, 7, 5, 7, 8},那么这个数据集的基数集为 {1, 3, 5 ,7, 8},基数 (不重复元素) 为 5。 基数估计就是在误差可接受的范围内,快速计算基数。
2.8 Geospatial
Redis 3.2 中增加了对 GEO 类型的支持。GEO,Geographic,地理信息的缩写。该类型,就是元素的 2 维坐标,在地图上就是经纬度。redis 基于该类型,提供了经纬度设置,查询,范围查询,距离查询,经纬度 Hash 等常见操作。
三.Redis 的发布和订阅
3.1 什么是发布和订阅
Redis 发布订阅 (pub/sub) 是一种消息通信模式:发送者 (pub) 发送消息,订阅者 (sub) 接收消息。
Redis 客户端可以订阅任意数量的频道。
3.2 Redis 的发布和订阅
- 客户端可以订阅频道如下图:

- 当给这个频道发布消息后,消息就会发送给订阅的客户端:

3.3 发布订阅命令行实现
- 打开一个客户端订阅 channel1:

- 打开另一个客户端,给 channel1 发布消息 hello:

- 打开第一个客户端可以看到发送的消息:

四.Redis 事务、锁机制秒杀
4.1 Redis 事务定义
Redis 事务是一个单独的隔离操作:事务中的所有命令都会序列化、按顺序地执行。事务在执行的过程中,不会被其他客户端发送来的命令请求所打断。
Redis 事务的主要作用就是串联多个命令防止别的命令插队。
4.2 Multi、Exec、discard
Redis 事务中有 Multi、Exec 和 discard 三个指令,在 Redis 中,从输入 Multi 命令开始,输入的命令都会依次进入命令队列中,但不会执行,直到输入 Exec 后,Redis 会将之前的命令队列中的命令依次执行。而组队的过程中可以通过 discard 来放弃组队。

案例说明:

组队成功,提交成功。

组队阶段报错,提交失败。

组队成功,提交有成功有失败情况。
4.3 事务的错误处理
组队中某个命令出现了报告错误,执行时整个的所有队列都会被取消。

如果执行阶段某个命令报出了错误,则只有报错的命令不会被执行,而其他的命令都会执行,不会回滚。

4.4 为什么要做成事务
想想一个场景:有很多人有你的账户,同时去参加双十一抢购。
4.5 事务冲突的问题
例子
一个请求想给金额减 8000;
一个请求想给金额减 5000;
一个请求想给金额减 1000。
最终我们可以发现,总共金额是 10000,如果请求全部执行,那最后的金额变为 - 4000,很明显不合理。

悲观锁

悲观锁 (Pessimistic Lock),顾名思义,就是很悲观,每次去拿数据的时候都认为别人会修改,所以每次在拿数据的时候都会上锁,这样别人想拿这个数据就会 block 直到它拿到锁。传统的关系型数据库里边就用到了很多这种锁机制,比如行锁,表锁等,读锁,写锁等,都是在做操作之前先上锁。
乐观锁

乐观锁 (Optimistic Lock),顾名思义,就是很乐观,每次去拿数据的时候都认为别人不会修改,所以不会上锁,但是在更新的时候会判断一下在此期间别人有没有去更新这个数据,可以使用版本号等机制。乐观锁适用于多读的应用类型,这样可以提高吞吐量。Redis 就是利用这种 check-and-set 机制实现事务的。
WATCH key [key …]
在执行 multi 之前,先执行 watch key1 [key2],可以监视一个 (或多个) key ,如果在事务执行之前这个 (或这些) key 被其他命令所改动,那么事务将被打断。

unwatch
取消 WATCH 命令对所有 key 的监视。如果在执行 WATCH 命令之后,EXEC 命令或 DISCARD 命令先被执行了的话,那么就不需要再执行 UNWATCH 了。
4.6 Redis 事务三特性
单独的隔离操作 :事务中的所有命令都会序列化、按顺序地执行。事务在执行的过程中,不会被其他客户端发送来的命令请求所打断。
没有隔离级别的概念 :队列中的命令没有提交之前都不会实际被执行,因为事务提交前任何指令都不会被实际执行。
不保证原子性 :事务中如果有一条命令执行失败,其后的命令仍然会被执行,没有回滚。
五.Redis_事务秒杀案例
5.1 解决计数器和人员记录的事务操作

5.2 Redis 事务 — 秒杀并发模拟
使用工具 ab 模拟测试:(也可以使用jmeter)
CentOS6 默认安装
CentOS7 需要手动安装
通过 ab 测试
im postfile 模拟表单提交参数, 以 & 符号结尾,存放当前目录。
内容:prodid=0101&
执行:ab -n 2000 -c 200 -k -p ~/postfile -T application/x-www-form-urlencoded
访问:http://192.168.2.115:8081/Seckill/doseckill
超卖


5.3 超卖问题

利用乐观锁淘汰用户,解决超卖问题。

主要代码:
public class SecKill_redis {
public static void main(String[] args) {
Jedis jedis =new Jedis("192.168.44.168",6379);
System.out.println(jedis.ping());
jedis.close();
}
//秒杀过程
public static boolean doSecKill(String uid,String prodid) throws IOException {
//1 uid和prodid非空判断
if(uid == null || prodid == null) {
return false;
}
//2 连接redis
//Jedis jedis = new Jedis("192.168.44.168",6379);
//通过连接池得到jedis对象
JedisPool jedisPoolInstance = JedisPoolUtil.getJedisPoolInstance();
Jedis jedis = jedisPoolInstance.getResource();
//3 拼接key
// 3.1 库存key
String kcKey = "sk:"+prodid+":qt";
// 3.2 秒杀成功用户key
String userKey = "sk:"+prodid+":user";
//监视库存
jedis.watch(kcKey);
//4 获取库存,如果库存null,秒杀还没有开始
String kc = jedis.get(kcKey);
if(kc == null) {
System.out.println("秒杀还没有开始,请等待");
jedis.close();
return false;
}
// 5 判断用户是否重复秒杀操作
if(jedis.sismember(userKey, uid)) {
System.out.println("已经秒杀成功了,不能重复秒杀");
jedis.close();
return false;
}
//6 判断如果商品数量,库存数量小于1,秒杀结束
if(Integer.parseInt(kc)<=0) {
System.out.println("秒杀已经结束了");
jedis.close();
return false;
}
//7 秒杀过程
//使用事务
Transaction multi = jedis.multi();
//组队操作
multi.decr(kcKey);
multi.sadd(userKey,uid);
//执行
List<Object> results = multi.exec();
if(results == null || results.size()==0) {
System.out.println("秒杀失败了....");
jedis.close();
return false;
}
//7.1 库存-1
//jedis.decr(kcKey);
//7.2 把秒杀成功用户添加清单里面
//jedis.sadd(userKey,uid);
System.out.println("秒杀成功了..");
jedis.close();
return true;
}
}


5.4 继续增加并发测试
连接有限制
增加 - r 参数,-r Don’t exit on socket receive errors。
已经秒光,可是还有库存
已经秒光,可是还有库存。原因:乐观锁导致很多请求都失败。先点的没秒到,后点的可能秒到了。

连接超时,通过连接池解决
节省每次连接 redis 服务带来的消耗,把连接好的实例反复利用。通过参数管理连接的行为,代码见项目中:
连接池参数:
MaxTotal:控制一个 pool 可分配多少个 jedis 实例,通过 pool.getResource () 来获取;如果赋值为 - 1,则表示不限制;如果 pool 已经分配了 MaxTotal 个 jedis 实例,则此时 pool 的状态为 exhausted。
maxIdle:控制一个 pool 最多有多少个状态为 idle (空闲) 的 jedis 实例;
MaxWaitMillis:表示当 borrow 一个 jedis 实例时,最大的等待毫秒数,如果超过等待时间,则直接抛 JedisConnectionException;
testOnBorrow:获得一个 jedis 实例的时候是否检查连接可用性(ping ());如果为 true,则得到的 jedis 实例均是可用的。
5.5 解决库存遗留问题
LUA 脚本在 Redis 中的优势
将复杂的或者多步的 redis 操作,写为一个脚本,一次提交给 redis 执行,减少反复连接 redis 的次数,提升性能。
LUA 脚本是类似 redis 事务,有一定的原子性,不会被其他命令插队,可以完成一些 redis 事务性的操作。
但是注意 redis 的 lua 脚本功能,只有在 Redis 2.6 以上的版本才可以使用。
利用 lua 脚本淘汰用户,解决超卖问题,redis 2.6 版本以后,通过 lua 脚本解决争抢问题,实际上是 redis 利用其单线程的特性,用任务队列的方式解决多任务并发问题。

六.Redis 持久化之 RDB
6.1 总体介绍
Redis 提供了 2 个不同形式的持久化方式:
RDB(Redis DataBase)
AOF(Append Of File)
6.2 RDB
6.2.1 简介
在指定的时间间隔内将内存中的数据集快照写入磁盘, 也就是行话讲的 Snapshot 快照,它恢复时是将快照文件直接读到内存里。
6.2.2 备份是如何执行的
Redis 会单独创建(fork)一个子进程来进行持久化,首先会将数据写入到一个临时文件中,待持久化过程都结束了,再用这个临时文件替换上次持久化好的文件。整个过程中,主进程是不进行任何 IO 操作的,这就确保了极高的性能。如果需要进行大规模数据的恢复,且对于数据恢复的完整性不是非常敏感,那 RDB 方式要比 AOF 方式更加的高效。RDB 的缺点是最后一次持久化后的数据可能丢失。
6.2.3 Fork
Fork 的作用是复制一个与当前进程一样的进程。新进程的所有数据(变量、环境变量、程序计数器等) 数值都和原进程一致,但是是一个全新的进程,并作为原进程的子进程。
在 Linux 程序中,fork () 会产生一个和父进程完全相同的子进程,但子进程在此后多会 exec 系统调用,出于效率考虑,Linux 中引入了 “写时复制技术”。
一般情况父进程和子进程会共用同一段物理内存,只有进程空间的各段的内容要发生变化时,才会将父进程的内容复制一份给子进程。
6.2.4 RDB 持久化流程

6.2.5 dump.rdb 文件
在 redis.conf 中配置文件名称,默认为 dump.rdb。
rdb 文件的保存路径,也可以修改。默认为 Redis 启动时命令行所在的目录下 “dir ./”
6.2.6 如何触发 RDB 快照;保持策略
配置文件中默认的快照配置

命令 save VS bgsave
save :save 时只管保存,其它不管,全部阻塞。手动保存,不建议。
bgsave:Redis 会在后台异步进行快照操作, 快照同时还可以响应客户端请求。
可以通过 lastsave 命令获取最后一次成功执行快照的时间。
flushall 命令
执行 flushall 命令,也会产生 dump.rdb 文件,但里面是空的,无意义。
6.2.7 优势
适合大规模的数据恢复
对数据完整性和一致性要求不高更适合使用
节省磁盘空间
恢复速度快

6.2.8 劣势
Fork 的时候,内存中的数据被克隆了一份,大致 2 倍的膨胀性需要考虑。
虽然 Redis 在 fork 时使用了写时拷贝技术,但是如果数据庞大时还是比较消耗性能。
在备份周期在一定间隔时间做一次备份,所以如果 Redis 意外 down 掉的话,就会丢失最后一次快照后的所有修改。
6.2.9 如何停止
动态停止 RDB:redis-cli config set save “” 23#save 后给空值,表示禁用保存策略。
6.2.10 小总结

七.Redis 持久化之 AOF
7.1 AOF(Append Only File)
以日志的形式来记录每个写操作(增量保存),将 Redis 执行过的所有写指令记录下来 (读操作不记录), 只许追加文件但不可以改写文件,redis 启动之初会读取该文件重新构建数据,换言之,redis 重启的话就根据日志文件的内容将写指令从前到后执行一次以完成数据的恢复工作。
7.1.1 AOF 持久化流程
客户端的请求写命令会被 append 追加到 AOF 缓冲区内;
AOF 缓冲区根据 AOF 持久化策略 [always,everysec,no] 将操作 sync 同步到磁盘的 AOF 文件中;
AOF 文件大小超过重写策略或手动重写时,会对 AOF 文件 rewrite 重写,压缩 AOF 文件容量;
Redis 服务重启时,会重新 load 加载 AOF 文件中的写操作达到数据恢复的目的。

7.1.2 AOF 默认不开启
可以在 redis.conf 中配置文件名称默认为 appendonly.aof 文件中开启,AOF 文件的保存路径,同 RDB 的路径一致。
7.1.3 AOF 和 RDB 同时开启,redis 听谁的?
AOF 和 RDB 同时开启,系统默认取 AOF 的数据(数据不会存在丢失)。
7.1.4 AOF 启动、修复、恢复
AOF 的备份机制和性能虽然和 RDB 不同,但是备份和恢复的操作同 RDB 一样,都是拷贝备份文件,需要恢复时再拷贝到 Redis 工作目录下,启动系统即加载。
正常恢复
- 修改默认的 appendonly no,改为 yes。
- 将有数据的 aof 文件复制一份保存到对应目录 (查看目录:config get dir)。
- 恢复:重启 redis 然后重新加载。
异常恢复
- 修改默认的 appendonly no,改为 yes。
- 如遇到 AOF 文件损坏,通过 /usr/local/bin/ redis-check-aof–fix appendonly.aof 进行恢复。
- 备份被写坏的 AOF 文件。
- 恢复:重启 redis,然后重新加载。
7.1.5 AOF 同步频率设置
appendfsync always:始终同步,每次 Redis 的写入都会立刻记入日志;性能较差但数据完整性比较好。
appendfsync everysec:每秒同步,每秒记入日志一次,如果宕机,本秒的数据可能丢失。
appendfsync no:redis 不主动进行同步,把同步时机交给操作系统。
7.1.6 Rewrite 压缩
Rewrite 压缩是什么
AOF 采用文件追加方式,文件会越来越大为避免出现此种情况,新增了重写机制,当 AOF 文件的大小超过所设定的阈值时,Redis 就会启动 AOF 文件的内容压缩,只保留可以恢复数据的最小指令集,可以使用命令 bgrewriteaof。
重写原理,如何实现重写
AOF 文件持续增长而过大时,会 fork 出一条新进程来将文件重写 (也是先写临时文件最后再 rename),redis4.0 版本后的重写,是指把 rdb 的快照,以二进制的形式附在新的 aof 头部,作为已有的历史数据,替换掉原来的流水账操作。
no-appendfsync-on-rewrite:
如果 no-appendfsync-on-rewrite=yes ,不写入 aof 文件只写入缓存,用户请求不会阻塞,但是在这段时间如果宕机会丢失这段时间的缓存数据。(降低数据安全性,提高性能)
如果 no-appendfsync-on-rewrite=no,还是会把数据往磁盘里刷,但是遇到重写操作,可能会发生阻塞。(数据安全,但是性能降低)
触发机制,何时重写
Redis 会记录上次重写时的 AOF 大小,默认配置是当 AOF 文件大小是上次 rewrite 后大小的一倍且文件大于 64M 时触发。
重写虽然可以节约大量磁盘空间,减少恢复时间。但是每次重写还是有一定的负担的,因此设定 Redis 要满足一定条件才会进行重写。
auto-aof-rewrite-percentage:设置重写的基准值,文件达到 100% 时开始重写(文件是原来重写后文件的 2 倍时触发)。
auto-aof-rewrite-min-size:设置重写的基准值,最小文件 64MB。达到这个值开始重写。
系统载入时或者上次重写完毕时,Redis 会记录此时 AOF 大小,设为 base_size,
如果 Redis 的 AOF 当前大小 >= base_size +base_size*100% (默认) 且当前大小 >=64mb (默认) 的情况下,Redis 会对 AOF 进行重写。
例如:文件达到 70MB 开始重写,降到 50MB,下次什么时候开始重写?100MB
重写流程
bgrewriteaof 触发重写,判断是否当前有 bgsave 或 bgrewriteaof 在运行,如果有,则等待该命令结束后再继续执行;
主进程 fork 出子进程执行重写操作,保证主进程不会阻塞;
子进程遍历 redis 内存中数据到临时文件,客户端的写请求同时写入 aof_buf 缓冲区和 aof_rewrite_buf 重写缓冲区,保证原 AOF 文件完整以及新 AOF 文件生成期间的新的数据修改动作不会丢失;
子进程写完新的 AOF 文件后,向主进程发信号,父进程更新统计信息。主进程把 aof_rewrite_buf 中的数据写入到新的 AOF 文件;
使用新的 AOF 文件覆盖旧的 AOF 文件,完成 AOF 重写。

7.1.7 优势

备份机制更稳健,丢失数据概率更低。
可读的日志文本,通过操作 AOF 稳健,可以处理误操作。
7.1.8 劣势
比起 RDB 占用更多的磁盘空间。
恢复备份速度要慢。
每次读写都同步的话,有一定的性能压力。
存在个别 Bug,造成恢复不能。
7.1.9 小总结

7.2 总结 (Which one)
7.2.1 用哪个好
官方推荐两个都启用:
如果对数据不敏感,可以选单独用 RDB。
不建议单独用 AOF,因为可能会出现 Bug。
如果只是做纯内存缓存,可以都不用。
7.2.2 官网建议
RDB 持久化方式能够在指定的时间间隔能对你的数据进行快照存储。
AOF 持久化方式记录每次对服务器写的操作,当服务器重启的时候会重新执行这些命令来恢复原始的数据,AOF 命令以 redis 协议追加保存每次写的操作到文件末尾。
Redis 还能对 AOF 文件进行后台重写,使得 AOF 文件的体积不至于过大。
只做缓存:如果你只希望你的数据在服务器运行的时候存在,你也可以不使用任何持久化方式。
同时开启两种持久化方式:在这种情况下,当 redis 重启的时候会优先载入 AOF 文件来恢复原始的数据,因为在通常情况下 AOF 文件保存的数据集要比 RDB 文件保存的数据集要完整。
RDB 的数据不实时,同时使用两者时服务器重启也只会找 AOF 文件。那要不要只使用 AOF 呢?
建议不要,因为 RDB 更适合用于备份数据库 (AOF 在不断变化不好备份),快速重启,而且不会有 AOF 可能潜在的 bug,留着作为一个万一的手段。
性能建议:
- 因为 RDB 文件只用作后备用途,建议只在 Slave 上持久化 RDB 文件,而且只要 15 分钟备份一次就够了,只保留 save 9001 这条规则。
- 如果使用 AOF,好处是在最恶劣情况下也只会丢失不超过两秒数据,启动脚本较简单,只 load 自己的 AOF 文件就可以了。
- aof 代价:一是带来了持续的 IO,二是 AOF rewrite 的最后,将 rewrite 过程中产生的新数- 据写到新文件造成的阻塞几乎是不可避免的。
- 只要硬盘许可,应该尽量减少 AOF rewrite 的频率,AOF 重写的基础大小默认值 64M 太小了,可以设到 5G 以上。默认超过原大小 100% 大小时重写可以改到适当的数值。
八.Redis 主从复制
主机数据更新后根据配置和策略, 自动同步到备机的 master/slaver 机制,Master 以写为主,Slave 以读为主,主从复制节点间数据是全量的。
作用:
读写分离,性能扩展
容灾快速恢复

8.1 复制原理
Slave 启动成功连接到 master 后会发送一个 sync 命令;
Master 接到命令启动后台的存盘进程,同时收集所有接收到的用于修改数据集命令,在后台进程执行完毕之后,master 将传送整个数据文件到 slave,以完成一次完全同步。
全量复制:slave 服务器在接收到数据库文件数据后,将其存盘并加载到内存中。
增量复制:Master 继续将新的所有收集到的修改命令依次传给 slave,完成同步。
但是只要是重新连接 master,一次完全同步(全量复制) 将被自动执行。

8.2 哨兵模式 (sentinel)
反客为主:当一个 master 宕机后,后面的 slave 可以立刻升为 master,其后面的 slave 不用做任何修改。用 slaveof no one 指令将从机变为主机。而哨兵模式是反客为主的自动版,能够后台监控主机是否故障,如果故障了根据投票数自动将从库转换为主库。

当主机挂掉,从机选举产生新的主机
哪个从机会被选举为主机呢?根据优先级别:slave-priority 。
原主机重启后会变为从机。
复制延时
由于所有的写操作都是先在 Master 上操作,然后同步更新到 Slave 上,所以从 Master 同步到 Slave 机器有一定的延迟,当系统很繁忙的时候,延迟问题会更加严重,Slave 机器数量的增加也会使这个问题更加严重。
故障恢复

优先级:在 redis.conf 中默认 slave-priority 100,值越小优先级越高。
偏移量:指获得原主机数据最全的概率。
runid:每个 redis 实例启动后都会随机生成一个 40 位的 runid。
九.Redis 集群(cluster 模式)
Redis 集群(包括很多小集群)实现了对 Redis 的水平扩容,即启动 N 个 redis 节点,将整个数据库分布存储在这 N 个节点中,每个节点存储总数据的 1/N,即一个小集群存储 1/N 的数据,每个小集群里面维护好自己的 1/N 的数据。
Redis 集群通过分区(partition)来提供一定程度的可用性(availability): 即使集群中有一部分节点失效或者无法进行通讯, 集群也可以继续处理命令请求。
该模式的 redis 集群特点是:分治、分片。
9.1 问题
容量不够,redis 如何进行扩容?
并发写操作, redis 如何分摊?
另外,主从模式,薪火相传模式,主机宕机,导致 ip 地址发生变化,应用程序中配置需要修改对应的主机地址、端口等信息。
之前通过代理主机来解决,但是 redis3.0 中提供了解决方案。就是无中心化集群配置。
9.2 集群连接
普通方式登录:可能直接进入读主机,存储数据时,会出现 MOVED 重定向操作,所以,应该以集群方式登录。

集群登录:redis-cli -c -p 6379 采用集群策略连接,设置数据会自动切换到相应的写主机.
9.3 redis cluster 如何分配这六个节点?
- 一个集群至少要有三个主节点。
- 选项 –cluster-replicas 1 :表示我们希望为集群中的每个主节点创建一个从节点。
- 分配原则尽量保证每个主数据库运行在不同的 IP 地址,每个从库和主库不在一个 IP 地址上。
9.4 什么是 slots
一个 Redis 集群包含 16384 个插槽(hash slot),数据库中的每个键都属于这 16384 个插槽的其中一个。集群使用公式 CRC16 (key) % 16384 来计算键 key 属于哪个槽, 其中 CRC16 (key) 语句用于计算键 key 的 CRC16 校验和 。
集群中的每个节点负责处理一部分插槽。 举个例子, 如果一个集群可以有主节点, 其中:
- 节点 A 负责处理 0 号至 5460 号插槽。
- 节点 B 负责处理 5461 号至 10922 号插槽。
- 节点 C 负责处理 10923 号至 16383 号插槽。
9.5 在集群中录入值
在 redis-cli 每次录入、查询键值,redis 都会计算出该 key 应该送往的插槽,如果不是该客户端对应服务器的插槽,redis 会报错,并告知应前往的 redis 实例地址和端口。
redis-cli 客户端提供了 –c 参数实现自动重定向。如 redis-cli -c –p 6379 登入后,再录入、查询键值对可以自动重定向。不在一个 slot 下的键值,是不能使用 mget,mset 等多键操作。
9.6 故障恢复
如果主节点下线?从节点能否自动升为主节点?注意:15 秒超时
主节点恢复后,主从关系会如何?主节点回来变成从机。
如果所有某一段插槽的主从节点都宕掉,redis 服务是否还能继续?
如果某一段插槽的主从都挂掉,而 cluster-require-full-coverage 为 yes ,那么整个集群都挂掉。
如果某一段插槽的主从都挂掉,而 cluster-require-full-coverage 为 no ,那么,该插槽数据全都不能使用,也无法存储。
9.7 Redis 集群优点
实现扩容
分摊压力
无中心配置相对简单
9.8 Redis 集群不足
多键操作是不被支持的。
多键的 Redis 事务是不被支持的,lua 脚本不被支持。
由于集群方案出现较晚,很多公司已经采用了其他的集群方案,而代理或者客户端分片的方案想要迁移至 redis cluster,需要整体迁移而不是逐步过渡,复杂度较大。
十.Redis 应用问题解决
10.1 缓存穿透
10.1.1 问题描述
key 对应的数据在数据源并不存在,每次针对此 key 的请求从缓存获取不到,请求都会压到数据源(数据库),从而可能压垮数据源。比如
用一个不存在的用户 id 获取用户信息,不论缓存还是数据库都没有,若黑客利用此漏洞进行攻击可能压垮数据库。
缓存穿透发生的条件:
- 应用服务器压力变大
- redis 命中率降低
- 一直查询数据库,使得数据库压力太大而压垮
其实 redis 在这个过程中一直平稳运行,崩溃的是我们的数据库(如 MySQL)。
缓存穿透发生的原因:黑客或者其他非正常用户频繁进行很多非正常的 url 访问,使得 redis 查询不到数据库。

10.1.2 解决方案
对空值缓存:如果一个查询返回的数据为空(不管是数据是否不存在),我们仍然把这个空结果(null)进行缓存,设置空结果的过期时间会很短,最长不超过五分钟。
设置可访问的名单(白名单):使用 bitmaps 类型定义一个可以访问的名单,名单 id 作为 bitmaps 的偏移量,每次访问和 bitmap 里面的 id 进行比较,如果访问 id 不在 bitmaps 里面,进行拦截,不允许访问。
采用布隆过滤器:布隆过滤器(Bloom Filter)是 1970 年由布隆提出的。它实际上是一个很长的二进制向量 (位图) 和一系列随机映射函数(哈希函数)。布隆过滤器可以用于检索一个元素是否在一个集合中。它的优点是空间效率和查询时间都远远超过一般的算法,缺点是有一定的误识别率和删除困难。
进行实时监控:当发现 Redis 的命中率开始急速降低,需要排查访问对象和访问的数据,和运维人员配合,可以设置黑名单限制服务。
10.2 缓存击穿
10.2.1 问题描述
key 对应的数据存在,但在 redis 中过期,此时若有大量并发请求过来,这些请求发现缓存过期一般都会从后端数据库加载数据并回设到缓存,这个时候大并发的请求可能会瞬间把后端数据库压垮。
缓存击穿的现象:
- 数据库访问压力瞬时增加,数据库崩溃
- redis 里面没有出现大量 key 过期
- redis 正常运行
缓存击穿发生的原因:redis 某个 key 过期了,大量访问使用这个 key(热门 key)。

10.2.2 解决方案
key 可能会在某些时间点被超高并发地访问,是一种非常 “热点” 的数据。
预先设置热门数据:在 redis 高峰访问之前,把一些热门数据提前存入到 redis 里面,加大这些热门数据 key 的时长。
实时调整:现场监控哪些数据热门,实时调整 key 的过期时长。
使用锁:
- 就是在缓存失效的时候(判断拿出来的值为空),不是立即去 load db。
- 先使用缓存工具的某些带成功操作返回值的操作(比如 Redis 的 SETNX)去 set 一个 mutex key。
- 当操作返回成功时,再进行 load db 的操作,并回设缓存,最后删除 mutex key;
- 当操作返回失败,证明有线程在 load db,当前线程睡眠一段时间再重试整个 get 缓存的方法。

10.3 缓存雪崩
10.3.1 问题描述
key 对应的数据存在,但在 redis 中过期,此时若有大量并发请求过来,这些请求发现缓存过期一般都会从后端数据库加载数据并回设到缓存,这个时候大并发的请求可能会瞬间把后端数据库压垮。
缓存雪崩与缓存击穿的区别在于这里针对很多 key 缓存,前者则是某一个 key 正常访问。

缓存失效瞬间:

10.3.2 解决方案
构建多级缓存架构:nginx 缓存 + redis 缓存 + 其他缓存(ehcache 等)。
使用锁或队列:用加锁或者队列的方式来保证不会有大量的线程对数据库一次性进行读写,从而避免失效时大量的并发请求落到底层存储系统上,该方法不适用高并发情况。
设置过期标志更新缓存:记录缓存数据是否过期(设置提前量),如果过期会触发通知另外的线程在后台去更新实际 key 的缓存。
将缓存失效时间分散开:比如可以在原有的失效时间基础上增加一个随机值,比如 1-5 分钟随机,这样每一个缓存的过期时间的重复率就会降低,就很难引发集体失效的事件。
10.4 分布式锁
10.4.1 问题描述
随着业务发展的需要,原单体单机部署的系统被演化成分布式集群系统后,由于分布式系统多线程的特点以及分布在不同机器上,这将使原单机部署情况下的并发控制锁策略失效,单纯的 Java API 并不能提供分布式锁的能力。为了解决这个问题就需要一种跨 JVM 的互斥机制来控制共享资源的访问,这就是分布式锁要解决的问题!
分布式锁主流的实现方案:
- 基于数据库实现分布式锁
- 基于缓存(Redis 等)
- 基于 Zookeeper
根据实现方式,分布式锁还可以分为类 CAS 自旋式分布式锁以及 event 事件类型分布式锁:
- 类 CAS 自旋式分布式锁:询问的方式,类似 java 并发编程中的线程获询问的方式尝试加锁,如 mysql、redis。
- 另外一类是 event 事件通知进程后续锁的变化,轮询向外的过程,如 zookeeper、etcd。
每一种分布式锁解决方案都有各自的优缺点:
性能:redis 最高
可靠性:zookeeper 最高
10.4.2 解决方案:使用 redis 实现分布式锁

setnx:通过该命令尝试获得锁,没有获得锁的线程会不断等待尝试。
set key ex 3000nx:设置过期时间,自动释放锁,解决当某一个业务异常而导致锁无法释放的问题。但是当业务运行超过过期时间时,开辟监控线程增加该业务的运行时间,直到运行结束,释放锁。
uuid:设置 uuid,释放前获取这个值,判断是否自己的锁,防止误删锁,造成没锁的情况。
10.5 RedLock
Redlock 是一种算法,Redlock 也就是 Redis Distributed Lock,可用实现多节点 redis 的分布式锁。RedLock 官方推荐,Redisson 完成了对 Redlock 算法封装。
此种方式具有以下特性:
- 互斥访问:即永远只有一个 client 能拿到锁。
- 避免死锁:最终 client 都可能拿到锁,不会出现死锁的情况,即使锁定资源的服务崩溃或者分区,仍然能释放锁。
- 容错性:只要大部分 Redis 节点存活(一半以上),就可以正常提供服务
RedLock 原理(了解)
- 获取当前 Unix 时间,以毫秒为单位。
2.依次尝试从 N 个实例,使用相同的 key 和随机值获取锁。在步骤 2,当向 Redis 设置锁时,客户端应该设置一个网络连接和响应超时时间,这个超时时间应该小于锁的失效时间。例如你的锁自动失效时间为 10 秒,则超时时间应该在 5-50 毫秒之间。这样可以避免服务器端 Redis 已经挂掉的情况下,客户端还在死死地等待响应结果。如果服务器端没有在规定时间内响应,客户端应该尽快尝试另外一个 Redis 实例。 - 客户端使用当前时间减去开始获取锁时间(步骤 1 记录的时间)就得到获取锁使用的时间。当且仅当从大多数(这里是 3 个节点)的 Redis 节点都取到锁,并且使用的时间小于锁失效时间时,锁才算获取成功。
- 如果取到了锁,key 的真正有效时间等于有效时间减去获取锁所使用的时间(步骤 3 计算的结果)。
- 如果因为某些原因,获取锁失败(没有在至少 N/2+1 个 Redis 实例取到锁或者取锁时间已经超过了有效时间),客户端应该在所有的 Redis 实例上进行解锁(即便某些 Redis 实例根本就没有加锁成功)。
十一.Redis IO 多线程
11.1 简介
Redis6 终于支撑多线程了,告别单线程了吗?
IO 多线程其实指客户端交互部分的网络 IO 交互处理模块 多线程,而非执行命令多线程。Redis6 执行命令依然是单线程。
11.2 原理架构
Redis 6 加入多线程,但跟 Memcached 这种从 IO 处理到数据访问多线程的实现模式有些差异。Redis 的多线程部分只是用来处理网络数据的读写和协议解析,执行命令仍然是单线程。之所以这么设计是不想因为多线程而变得复杂,需要去控制 key、lua、事务,LPUSH/LPOP 等等的并发问题。整体的设计大体如下:

另外,多线程 IO 默认也是不开启的,需要再配置文件中配置:
io-threads-do-reads yes
io-threads 4
十二.致谢
感谢尚硅谷王泽老师!!!
教程链接:https://www.bilibili.com/video/BV1Rv41177Af/?spm_id_from=333.999.0.0